Abstract
Venous thromboembolic events (VTE) are common after the diagnosis of lymphoma. Although various risk factors have been associated with VTE in cancer patients, there is no specific VTE risk prediction score for diffuse large B cell lymphoma (DLBCL) patients. The Khorana score is a prediction-model of VTE in cancer patients receiving chemotherapy that incorporates clinical and laboratory parameters. We evaluated the risk factors for VTE, the effect of VTE on the outcomes of DLBCL patients and the utility of the Khorana score in DLBCL patients.
Methods: We searched the Hematologic Malignancies Database of University Hospitals Seidman Cancer Center for newly diagnosed DLBCL patients between 2002 and 2014. Data on patient characteristics including risk factors, disease characteristics, treatment, outcomes and VTE was collected. The Khorana score was calculated using clinical (disease type, body mass index) and laboratory (hemoglobin level, platelet and leukocyte count) parameters. Risk factors identified as having statistical significance on univariate Cox proportional hazards analysis (p <0.05) were selected for multivariate analysis. Cumulative incidence (with death as competing risk) was used to estimate the incidence of VTE. Overall survival (OS) and progression free survival (PFS) were calculated using the Kaplan-Meier method; comparison between groups was done using the log-rank test.
Results: Four hundred DLBCL patients were included for analysis. Median age at diagnosis was 63 with 235 patients above the age of 60. Two hundred and thirty seven patients (59.3 %) had advanced stage at diagnosis and 14 patients (3.5%) had a prior history of VTE. Baseline characteristics are listed in Table 1. Sixty percent of patients had a Khorana score of 1 with no risk factors in addition to the diagnosis of lymphoma.
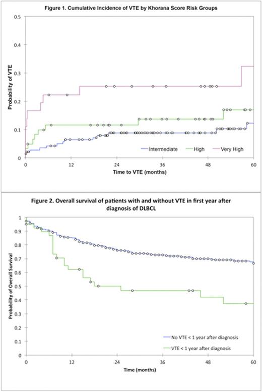
At median follow up of 33 months, 70 patients (18%) presented a VTE, with 1-year and 3-year cumulative incidence of 10.1% (95% CI 7.1-13.6) and 14% (95 % CI 10.8-18), respectively. Fifty-seven VTE (81% of all VTEs) were diagnosed in patients with active disease (at diagnosis, relapse or during active therapy). The Khorana score separated DLBCL patients in three VTE risk groups: intermediate (1 point), high (2 points) and very high (3 or more points) with 1 year cumulative incidence of VTE of 6.4%, 11.6% and 22.2%, respectively (p = 0.009) (Figure 1). On univariate analysis, bone involvement by lymphoma, elevated corrected calcium (>12g/dL), increased white cell count (>11,000/mcl), hemoglobin (<10g/dL), monocytosis (>800/mcl) and chromosomal translocations involving MYC presented statistically significant increases in hazard of VTE (Table 2). On multivariate analysis only bone involvement (p=0.017) and anemia (p=0.035) retained statistical significance as risk factors for VTE.
Three-year OS for patients presenting with VTE within 1 year of DLBCL diagnosis was 46.7 % (95% CI 30-63.3) vs. 72.3% (95% CI 67.4-77.3) in subjects without early VTE (p=0.05) (Figure 2). Presence of VTE at any time after DLBCL diagnosis was also associated with worse OS rates, with estimated 3-year OS of 52.2 % (95 % CI 39.8-64.7) for subjects experiencing VTE and 74 % (95 % CI 69-79) for those without VTE after DLBCL diagnosis (p<0.0001).
Conclusion: Venous thromboembolic events are common after diagnosis of DLBCL and are associated with worsened outcomes. The Khorana score is capable of identifying patient subgroups with increased risk of VTE. Additional parameters associated with aggressive disease and advanced stages could further help in VTE risk stratification for selection of patients who may benefit from antithrombotic prophylaxis. Prospective validation of VTE risk assessments and clinical trials of VTE prevention are needed in this high=risk population.
Caimi:Gilead: Consultancy; Novartis: Consultancy; Genentech: Speakers Bureau; Roche: Research Funding.
Author notes
Asterisk with author names denotes non-ASH members.


