Abstract
Introduction
Introduction of novel agents (Immunomodulators-thalidomide/lenalidomide and proteasome inhibitors-bortezomib) has really changed the treatment outcomes in myeloma patients. This is applicable to patients both eligible and ineligible for autologous stem cell transplant. In developing countries, like India, access to the generic forms makes it easy for patients to have treatment with all types of novel agents. In this study, we did a retrospective audit of the treatment outcomes with the generic forms of novel agents in a group of transplant ineligible patients.
Methodology
All newly diagnosed myeloma cases from January 2011 to December 2014, who did not undergo stem cell transplant, were included for the study. Criteria for diagnosis and treatment response were according to the latest IMWG guidelines. Baseline demographic data and details regarding CRAB criteria, Performance Status (PS), comorbidities, type and duration of treatment, and toxicity were recorded. Toxicity was graded according to CTCAE v 4. Only the maximum grade of a particular toxicity per patient has been reported. Dates of death if applicable was noted, and if patients were alive, date of last follow up was documented. Survival was analysed by non-parametric methods (Kaplan Meier and Cox proportional hazard model) and the variables considered were 'treatment completed' versus 'not completed', 'response' (PR or more) versus 'no response', 'maintenance received' versus 'not received', 'age ≤65 years' versus 'age >65 years', and international staging system (ISS) ' stage 1' versus 'stage 2 or 3'. Analysis was performed with R v 3.2.0 (http://cran.r-project.org.)
Results
One hundred and nineteen patients (53 males, 66 females) with median age of 62 years (range 44-85) were included as per eligibility criteria. Eighty four (70%) patients had IgG, and 21 (17.6%) had IgA, and 14 (11.7%) had light chain myeloma. Twenty two (18.4%) patients were in ISS stage 1, 36 (30%) were in stage 2 and 39 (32.7%) were in stage 3, with data missing in 22 patients. Fifty seven (47.9%) patients were having comorbidity. Ninety seven patients (81%) were having PS ≤ 2 and 21(17.6%) had PS >2. Lenalidomide based regimen was given in 29 patients, thalidomide based in 65 and bortezomib based in 25 patients.
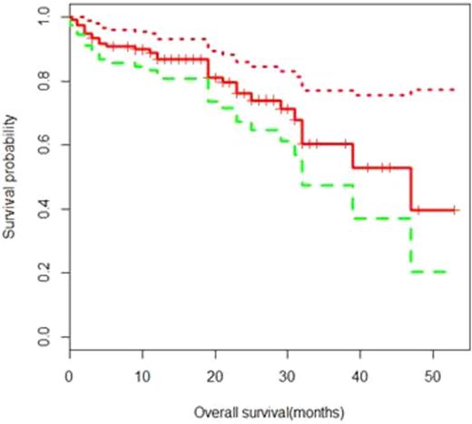
Overall response (PR or more) was documented in 74 (72%), out of 102 evaluable patients. VGPR or more was documented in 56 (55%), and PR in 18(17.6%) patients. Seventy three (61%) patients had some form of toxicity. Grade 3 nonhematologic toxicity occurred in 7 patients (peripheral neuropathy in 2, diarrhea in 2 and DVT in 3), grade 4 in none. Grade 3-4 hematologic toxicity occurred in 8 patients (grade 3 anemia and thrombocytopenia in 3 each, and grade 4 thrombocytopenia in 2 patients). Median follow up duration was 22 months. Estimated 3 year OS for entire group was 60% (95 % CI 47-77%) (Figure 1). Median PFS was 22 months (95 % CI 19- 25) (Figure 2). Variables significantly predicting OS were, treatment completed or not (47 Vs 32 months, HR= 0.372, P= 0.011) and age ≤ 65 versus age >65(47 Vs 31 months, HR= 4.15, P<0.001). Similarly for PFS the significant variables were response or not (24 Vs 7 months, HR= 4.89, P<0.001) and ISS stage 1 Vs stage 2 or 3 (25 Vs 19 months, HR=2.39, P=0.021).
Conclusion
Treatment with the generic forms of novel agents leads to comparable response rates and survival in patients with myeloma. So, use of these agents with lower cost seems justifiable in the real world practice where it may be difficult to access the innovators for the exuberant cost.
Overall survival for the entire cohort
Progression free survival for the entire cohort
No relevant conflicts of interest to declare.
Author notes
Asterisk with author names denotes non-ASH members.

