Abstract
INTRODUCTION: Epigenetic changes have proved increasingly important in the genesis of various tumors including acute and chronic lymphoid malignancies.Its basic features do not cause changes in the DNA sequence, but removing selective expression of genes dependent DNA packaging level. The histone methylation is one of the leading and most studied epigenetic events. SETD family of methyltransferases comprises 10 genes encoding proteins with SET domain. SETMAR encodes a protein that contains an N-terminal SET domain and a C-terminal mariner transposase domain. SETMAR-catalyzed methylation of H3K4 and H3K36 may lead to an open chromatin structure, which may facilitate its transposase-dependent processes. SETMAR was associated with carcinogenesis of acute myeloid leukemia by losing disjuntion checkpoint in cells treated with inhibitors of protein topo II. However, the role of SETMAR in CLL leukemogenesis remains unknown.
METHODS: In the present study, we evaluated the relative expression of SETMAR between a group of 59 CLL patients and 10 healthy controls by real-time PCR. As normal controls, we used peripheral blood mononuclear cells (PBMC) from 10 age-matched hematological healthy donors (age 50 to 84 years).We analyzed the correlation between SETMAR expression patterns with CLL clinical characteristics such as chromosomal aberrations, ZAP-70 expression and white blood cell (WBC) count. Total RNA was isolated and cDNAs were synthesized. Quantification of SETMAR was performed by Real Time PCR (qPCR) and normalized to endogenous (beta-actin) expression. Results were analyzed by the comparative2-ΔΔCt method. The amount of target gene, normalized to the endogenous control gene and relative to a reference sample, was converted into relative quantification. Based on the continuous distribution of SETMAR expression on CLL samples, we adopted the median value as the cutoff to dichotomize CLL patients in "low" and "high" SETMAR expression. Clinical and laboratory information were then compared between groups. Statistical analysis was performed by GraphPad Prism version 5. The Mann-Whitney U-test was used to examine differences between SETMAR expression (low or high) groups versus platelets, WBC count and ZAP-70 status and also to compare the groups of CLL patients with normal versus abnormal karyotypes. Association of SETMAR expression profile with karyotype was done using Fisher's exact test.
RESULTS: The clinical characteristics of CLL patient cohort used in this study is summarized in table 1. Initially, we compared SETMAR gene expression profiles between CLL patients and control samples, using the Mann-Whitney test. SETMAR gene expression was higher in CLL samples (p= 0.00117),with statistical difference (p<0.05) (Fig. 1).
Clinical and laboratorial characteristics of CLL patients.
| Characteristics . | PATIENTS (%) . |
|---|---|
| GENDER | |
| Male | 24(40,7%) |
| Female | 35(59,3%) |
| AGE | 63 (32-98 years) |
| TUMOR STAGE | |
| Binet A | 39(66%) |
| Binet B | 13(22%) |
| Binet C | 7(12%) |
| CYTOGENETIC ANALYSIS | |
| 13q deletion | 5(8,3%) |
| 17p deletion | 4(6,7%) |
| 12tryssomy | 16(26,7%) |
| Normal | 15(25%) |
| Others | 20(33,3%) |
| ZAP-70 expression | |
| >20% | 39(67,2%) |
| <20% | 19(32,8%) |
| Characteristics . | PATIENTS (%) . |
|---|---|
| GENDER | |
| Male | 24(40,7%) |
| Female | 35(59,3%) |
| AGE | 63 (32-98 years) |
| TUMOR STAGE | |
| Binet A | 39(66%) |
| Binet B | 13(22%) |
| Binet C | 7(12%) |
| CYTOGENETIC ANALYSIS | |
| 13q deletion | 5(8,3%) |
| 17p deletion | 4(6,7%) |
| 12tryssomy | 16(26,7%) |
| Normal | 15(25%) |
| Others | 20(33,3%) |
| ZAP-70 expression | |
| >20% | 39(67,2%) |
| <20% | 19(32,8%) |
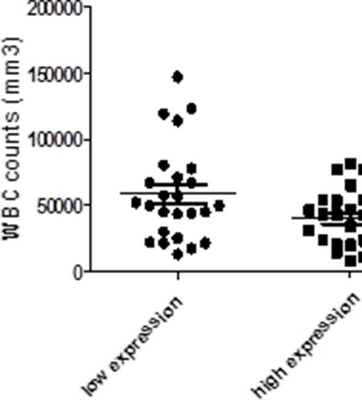
CLL patients with lower expression of SETMAR had a higher WBC count and a higher incidence of cytogenetic abnormalities (CTG) (p=0.001) when compared to those with higher expression (p=0.0262) (Fig. 2). However, differential SETMAR expression had no impact on platelets count (p = 0.092), ZAP-70 protein expression (p = 0.25) and tumor stage of Binet (p= 0.38).
Figure 2- A) SETMAR relative expression gene and cytogenetic abnormalities, with p=0,001 and B) SETMAR relative expression and WBC counts with p= 0,0262.
The cohort of 59 clinical specimens of CLL patients used in the present study revealed quite heterogeneous patterns of SETMAR expression and its association with clinical variables. Future efforts will be necessary to increase the assessment of SETMAR expression in a larger number of CLL patients in order to evaluate its impact on survival, as well as to unveil its correlation with response to established cancer therapy and in the course of the disease.
CONCLUSION: We observed that although the expression of SETMAR is elevated in the majority of CLL patients when compared to healthy controls, a lower expression of SETMAR in patients is associated with chromosomal instability and progression of the tumor mass (increased leukocytosis).
No relevant conflicts of interest to declare.
Author notes
Asterisk with author names denotes non-ASH members.


