Abstract
Background: Generic versions of imatinib (GEN) have been approved for use in Canada for chronic myeloid leukemia, chronic phase (CML-CP) on the basis of bioequivalence studies and were reimbursed in Québec starting from October 2013. Molecular responses with GEN have not yet been examined in detail. This study assesses the risk of diminished molecular response in switchers from brand-name imatinib (BN) to GEN and compares the effectiveness of initiating first-line GEN and first-line BN.
Methods: Prospective individual patient data were available from nine hospitals participating in the Québec CML registry. To allow equipoise between GEN and BN, we focused on stable BN users at the time of GEN market entry, of which some were subsequently switched to GEN. We further selected only those who had a 1-log rise in international reporting scale (IS) BCR-ABL1 transcript level and conducted a self-controlled case series study (SCSS).1 Using SCSS, each patient contributed follow-up for BN use, and for GEN use (if a switch occurred). The analysis used pooled BN and GEN person-time and compared the odds ratio (OR) of 1-log rise during GEN and BN treatment using conditional Poisson regression. A second analysis used a cohort of initiators of BN and GEN from 2013 and onwards. Kaplan Meier (KM) analyses were used to estimate the cumulative incidence of early molecular response (EMR) corresponding to < 10% IS. Cox proportional hazards models were used to estimate age-adjusted hazard ratio (HR) with 95% confidence intervals (CI) for EMR with GEN use, when compared with BN use.
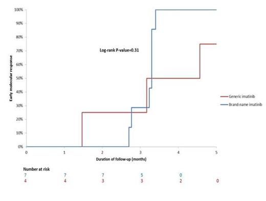
Results: We identified 184 patients treated with BN, 38 who were switched from BN to GEN, and 5 who used GEN only. For the SCSS analysis we included 23 patients, of which 17 had 1-log rise during BN use and 6 during GEN use. All patients had achieved major molecular response (MMR) prior to cohort entry (Table). Mean follow-up was 1.45±0.43 years. Overall, the use of GEN was associated with an increased incidence of 1- log rise (OR: 3.34, 95% CI: 0.33-33.68), although not reaching statistical significance. Ten of 23 rises in BCR-ABL1 levels were subsequently confirmed (7 in BN and 3 in GEN). Eleven patients lost MMR (IS>0.1%), 9 during BN use and 2 during GEN use. The cohort of first-line imatinib included 11 patients, 4 GEN and 7 BN. GEN users were slightly older (61 vs 53, GEN vs BN), and Sokal scores were comparable (low, 2 vs 4; intermediate, 2 vs 3). There was no clear separation of the EMR curves (Figure). However, the adjusted HR of EMR with GEN was 0.38 (95% CI: 0.07-2.15), compared with BN.
Conclusions: While these analyses are preliminary, our results call for an initiative on a larger scale to examine the clinical effectiveness of generic imatinib for CML-CP.
1. Whitaker HJ, Farrington CP, Spiessens B, Musonda P. Tutorial in biostatistics: the self-controlled case series method. Stat Med. 2006;25(10):1768-1797.
Baseline characteristics of the self-controlled case series cohort (n=23)
| Characteristic . | Value . |
|---|---|
| Mean age, years (SD) | 62.87 (15.4) |
| Female sex (n, %) | 9 (39.1) |
| Mean number of concomitant medications (SD) | 1.07 (2.2) |
| Mean years of brand-name imatinib use (SD) | 6.85 (2.8) |
| Number major molecular response (%) | 23 (100.0) |
| Characteristic . | Value . |
|---|---|
| Mean age, years (SD) | 62.87 (15.4) |
| Female sex (n, %) | 9 (39.1) |
| Mean number of concomitant medications (SD) | 1.07 (2.2) |
| Mean years of brand-name imatinib use (SD) | 6.85 (2.8) |
| Number major molecular response (%) | 23 (100.0) |
Cumulative incidence of EMR (<10% IS) following the initiation of generic or brand-name imatinib.
Cumulative incidence of EMR (<10% IS) following the initiation of generic or brand-name imatinib.
Chamakhi:Pfizer: Consultancy; BMS: Consultancy; Novartis: Consultancy. Delage:Pfizer: Consultancy; BMS: Consultancy; Novartis: Consultancy. Laneuville:Pfizer: Consultancy; BMS: Consultancy; Novartis: Consultancy. Mollica:Pfizer: Consultancy; Novartis: Consultancy; BMS: Consultancy. Olney:Cellgene: Honoraria; Pfizer: Consultancy; BMS: Consultancy; Novartis: Consultancy. Busque:Novartis: Consultancy, Honoraria, Research Funding, Speakers Bureau; BMS: Consultancy, Honoraria; Pfizer: Consultancy, Honoraria. Assouline:Pfizer: Consultancy; BMS: Consultancy; Novartis: Consultancy.
Author notes
Asterisk with author names denotes non-ASH members.
