Abstract
Allogeneic stem-cell transplantation is a potential curative option in multiple myeloma (MM). Reduced-intensity conditioning regimens (allo-RIC) result in a lower transplant related mortality (TRM) compared to conventional conditioning, despite of a higher relapse rate. Several prospective studies compared single or tandem autologous stem cell transplantation (SCT) with planned tandem autologous-reduced intensity allogeneic SCT, with discordant results in overall and progression-free survival (OS and PFS). Many studies were conducted using a “mini-allo-SCT”, a regimen containing a low-dose total body irradiation (TBI) and Fludarabine (Flu). Moreover, introduction of new drugs (bortezomib, thalidomide or lenalidomide) in the first decade of 2000 changed the biological history of MM.
We analyzed the results of ten-year experience with mini-allo-SCT in patients with MM in our institution.
Patients, materials and methods: Between June 2000 and December 2010, 21 patients (9 M, 12 F, median age 54 – range 36-66) received a mini-allo-SCT, 17 from an HLA identical sibling donor, 4 from a MUD full-matched. The source of stem cell was the peripheral blood in all patients. All grafts were not manipulated. At the time of diagnosis, Durie-Salmon (DS) stage was I in 5 patients (23.8%), II in 3 patients and III in 13 patients (61.9%). Disease status at the time of transplant was partial response (PR) in 17 patients (81%), 13 of them in first PR, 4 in second or more PR; 4 patients received allo-SCT as salvage therapy in active ore refractory disease. Eleven patients (52.4%) underwent to transplant after one line of treatment, 5 patients after 2 lines, 5 patients after 3 or more lines. Five patients (23.8%) were treated with new drugs. Auto-SCT is included in previous lines. Nine patients received one auto-SCT before the mini-allo-SCT; ten patients (47.6%) underwent transplantation after two auto-SCT. Two patients were allo-grafted frontline. Conditioning regimen was Flu-TBI in all patients. Graft versus Host Disease (GvHD) prophylaxis consisted on cyclosporine and MMF in all.
Results: Overall response rate was 76%, 5 PR and 11 complete remission (CR). One patient developed progression next allo-SCT. Four patients died in the first 100 days after allo-SCT, and they are censored for OS and PFS analyses. Of 17 pre-transplant PR, 11 achieved CR (64%), 4 maintained PR, 2 died before response evaluation. Of 4 patients who underwent allo-SCT in active disease, only 1 obtained a PR, whereas the other 3 patients developed progression or were not-valuable. Six patients (28.6%) developed acute GvHD, but no one died for complicated acute GvHD. Eleven patients (52.4%) had chronic GvHD.
Follow up range was from 4 to 96 months. The median time was 19 months. The relapse/progression rate in course of follow up was 29%. Two patients progressed after PR (40%), 3 after CR (5.9%). At the time of the last follow-up 8 patients died (47%), 3 of them for progression of MM.
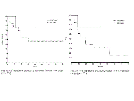
Survival analyses: TRM at 1 and 3 years was respectively 24% and 31%. OS at five years was 51%, with a plateau trend after 3 years (Fig. 1). In univariate statistical analysis, early DS stage at diagnosis (I-II), double auto-transplant, development of chronic GvHD have a significant impact (p value <.05) on OS. PFS at 3 years was 39%, at 6 years was near 20% (Fig 1). Early DS stage at diagnosis (I-II), double auto-transplant, and development of chronic GvHD have a significant impact (p value <.05) on PFS. Both in OS than in PFS, the previous treatment with new drugs did not result in statistical significant improvement, but the curves are spaced (Fig. 3 a and b), with a better performance for patients treated with new drugs.
Conclusions: Use of allogeneic transplantation in MM is limited because of high TRM. Mini-allo reduces the TRM. We observed 50% of long term survivors. DS stage at diagnosis, double auto-SCT and development of chronic GvHD impact on survival. New drugs demonstrate better trend in OS and PFS, despite the number of patients is too small to obtain a clear conclusion. This finding suggests the execution of further studies in this regard.
OS and PFS curves
PFS for patients who developed or not chronic GvHD
OS in patients previously treated or not with new drugs ( p value > .05 ); Fig. 3b: PFS in patients previously treated or not with new drugs ( p value > .05 )
OS in patients previously treated or not with new drugs ( p value > .05 ); Fig. 3b: PFS in patients previously treated or not with new drugs ( p value > .05 )
No relevant conflicts of interest to declare.
Author notes
Asterisk with author names denotes non-ASH members.


