Abstract

Introduction
Patients with a second venous thromboembolism (VTE) generally receive anticoagulant treatment for indefinite duration, although it is known that the recurrence risk diminishes over time while the risk of hemorrhage persists with continued anticoagulation and increases with age. Based on these arguments and the limited evidence for indefinite duration of treatment, the Dutch guideline recommends to consider limited duration of treatment (i.e. 12-month) for a 'late' second VTE, defined as a second VTE diagnosis >1 year after discontinuing treatment for a first VTE. It is hypothesized that the risk of continued anticoagulation might outweigh the benefits in those patients. We evaluated this management in daily practice.
Methods
Since 2003, a limited duration of treatment was systematically considered in consecutive patients with a late second VTE at a single academic hospital in The Netherlands. Incidence rates and cumulative incidence rates for a third VTE were calculated in patients who were treated for a limited duration and for an indefinite duration separately. For patients who were treated for a limited duration, hazard ratios (HR) for a third VTE were calculated for unprovoked versus provoked second VTE and DVT or PE as second VTE diagnosis. HR were adjusted for age, sex and where possible for type of second VTE and whether the second VTE was provoked or unprovoked.
Results
Of 132 patients with a late second VTE, 77 patients were treated for limited duration, of whom 26 developed a symptomatic third VTE after treatment cessation during a cumulative follow-up of 277 years, resulting in an incidence rate of 9.4/100 patient-years (95%CI 6.1-14). Cumulative incidence rates were 15% (95%CI 6.1-14) and 33% (95%CI 18-49) after 1 and 5 years of follow-up (Figure 1).
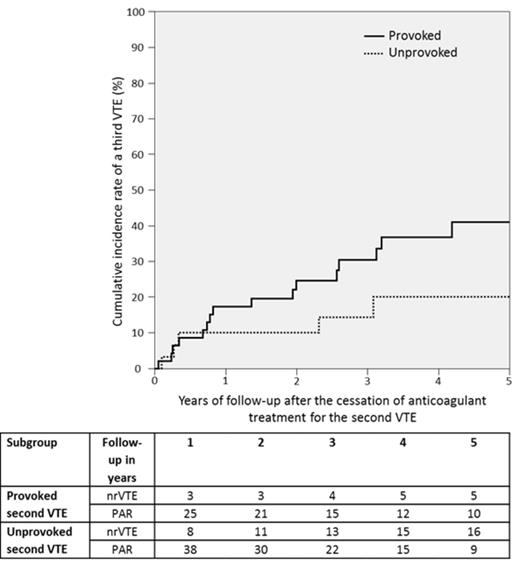
In patients who were treated for an indefinite duration, the incidence rate was 1.2/100 patient-years (95%CI 0.33-3.1). The incidence rates in patients with an unprovoked VTE and a VTE related to a transient provoking factor were 12 per 100 patient-years (95%CI 7.4-19) and 5.6 per 100 patient-years (95%CI 2.2-12) respectively with a HR of 2.8 (95%CI 1.1-7.2) (Figure 2). No difference was observed for patients with deep vein thrombosis as second VTE compared to patients with pulmonary embolism as second VTE, HR 0.65 (95%CI 0.29-1.5).
Conclusion
The incidence rate of 9.5/100 patient-years for a third VTE after a limited duration of treatment for a second VTE largely exceeds the risk of major hemorrhage associated with long-term anticoagulant treatment, which has been estimated to be 2.7/100 patient-years. Therefore, these findings strongly suggest that identifying patients with a relatively low recurrence risk based on the interval between first and second VTE is not an appropriate strategy. Only in patients with a second VTE in the presence of a transient provoking factor the recurrence risk approaches the risk of major bleeding associated with long-term anticoagulant treatment and a limited duration of treatmentmay still be considered in these patients.
Follow-up started at the time of the second venous thromboembolism diagnosis for both categories.
Note: nrVTE: number of recurrent VTE; PAR: patients at risk
Follow-up started at the time of cessation anticoagulant treatment.
Note: nrVTE: number of recurrent VTE; PAR: patients at risk
No relevant conflicts of interest to declare.
Author notes
Asterisk with author names denotes non-ASH members.

This icon denotes a clinically relevant abstract

