Abstract
Introduction: Given the critical role of BCR–ABL kinase activity in chronic myeloid leukemia (CML), tyrosine kinase inhibitors (TKIs) are currently considered the cornerstone of CML treatment. Previous studies have suggested that TKIs may influence anti-tumor immunity through off-target modulation of different immune effectors. Natural killer (NK) cells, as well as T cells in the context of adaptive immunity, are a key component of the innate immune system, providing first-line defense against virally infected cells and tumors. The activity of NK cells is modulated by a finely-tuned balance between signals received from inhibitory and activating cell surface receptors.
Aims: We sought to evaluate the impact of first and second generation TKIs on modulating different NK cell receptors patterns; secondly we studied the effect of a TKIs driven NK subpopulations selection on treatment response. Finally, we analyzed the T cells Vβ-TCR repertoire to identify any restrictions.
Materials and Methods: Peripheral blood samples from 25, 9 and 8 chronic phase CML patients treated with imatinib frontline, nilotinib and dasatinib as first or second line therapy, respectively, were collected. Patients characteristics are described below (see table 1). After separation of mononuclear cells (PBMC), the expression of several NK cell receptors (Killer Immunoglobulin-like Receptors, KIR: p70, p140, p58/p50; Killer Lectin-like Receptors, KLR: CD94, NKG2A, NKG2C/A, NKG2D; Natural Cytotoxicity Receptors, NCR: NKp30, NKp44, NKp46, NKp80; Co-receptors: 2B4; LIR1/ILT2, GPR56) and Vβ TCR-repertoire were analized by flow cytometry analysis. Treatment response was assessed with standardized real quantitative polymerase chain reaction and cytogenetics according to ELN recommendations.
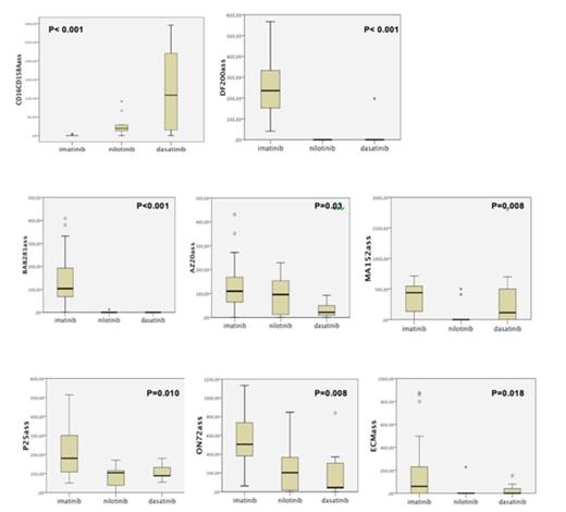
Results: The leukocyte count was not statistically different between groups (WBC = 5.5 x 109 / L vs. 6.8 x 109 / L vs. 5.6 x 109 / L, p = 0.09, respectively); also lymphocytes, considered either in percentage or absolute number, were comparable (32% vs 26% vs 35%, p = 0.08), as well as the percentage and absolute number of NK cells (20%; 0.37 x 109 / L vs. 15%; 0.26 x 109 / L vs. 24%; 0.54 x 109 / L (p = 0.17, p = 0.10).The analysis of NK receptors expression showed that patients treated with Imatinib exhibited a preferential selection of NK cells subpopulations harboring activating receptors (NKp30, NKp46, NKp80 and NKG2D), while in Dasatinib treated patients an increased expression of KIR (KIR2DL1) receptors was observed (figure 1). Interestingly, these effects were documented also in the absence of lymphocytosis. 44.4% (4 of 9 patients) of patients treated with nilotinib showed preferential expression of Vβ chains, compared with 87.5% of patients treated with dasatinib; no TCR-repertoire restriction was documented in the sole TKI primary resistant patient. 8 out of 17 patients showed a preferential expression of more than oneVβ chain (figure 2). No specific NK receptors profiles were found to be associated with different degrees of treatment response.
Conclusions: These preliminary data suggest the existence of a different NKRs and T cell receptor repertoire modulation, mediated by Tyrosine-Kinase Inhibitors. Since no significant correlation between response and specific NK receptor profiles has been demonstrated, TKIs immunomodulatory effect seems secondary compared to direct inhibition of BCR-ABL kinase. However, it's conceivable that NK and T cells subpopulations selection, induced by TKIs, may become relevant in the immunological control of leukemic disease at the time of drug discontinuation. These observations are currently being investigated on a larger series of patients.
NK cell receptors differentially expressed between imatinib, nilotinib and dasatinib treated patients.
NK cell receptors differentially expressed between imatinib, nilotinib and dasatinib treated patients.
T cell receptor repertoire in nilotinib (A) and dasatinib (B) treated CML patients
T cell receptor repertoire in nilotinib (A) and dasatinib (B) treated CML patients
No relevant conflicts of interest to declare.
Author notes
Asterisk with author names denotes non-ASH members.


