Abstract
Background: The goal of this study was to determine the predictive value of (18) F-fluorodeoxyglucose positron emission tomography-computed tomography (PET-CT) in patients with suspected smoldering multiple myeloma (SMM), specifically to determine if a positive PET-CT was associated with a significant risk of progression to multiple myeloma (MM) within 2 years.
Methods: We identified all patients with a diagnosis of SMM from January 2000 to March 2014 who had undergone a PET-CT scan as part of their clinical evaluation utilizing the Mayo Clinic Data Discovery and Query Database and a review of available medical records. The PET-CT findings, results of other diagnostic tests, and clinical course were then abstracted. A positive PET-CT was defined as radiologist interpretation of increased uptake in one or more focal areas. The primary endpoint was progression to active MM within the first 2 years following a positive PET-CT result among patients who were observed without therapy. Secondary endpoints included the proportion of patients in whom the diagnosis of active MM was made solely based on the findings of the PET-CT, the probability of progression within 2 years in patients with a negative PET-CT who were observed, and estimating differences in probability of progression based on presence or absence of underlying osteolysis in patients with a positive PET-CT.
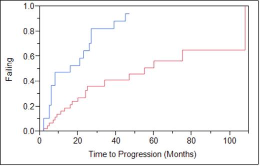
Results: 198 patients (100 male and 98 female) were identified with a suspected diagnosis of SMM in whom a PET-CT scan had been performed as part of the diagnostic evaluation. The median age was 69, range 35-92. The PET-CT was positive (defined as one or more focal lesions with increased uptake) in 82 patients, and negative in 116 patients. Of the 82 patients with a positive PET-CT, 49 were diagnosed and treated as MM, while 33 were considered to still have SMM and observed. Of the 49 patients diagnosed as MM, 12 (24%) were upstaged to the diagnosis of active disease solely based on the findings of the PET-CT; in the remaining 37 patients other MM defining events were also identified on other laboratory tests conducted during the same visit. Similarly, of the 116 patients with a negative PET-CT, 17 (15%) were diagnosed and treated as MM based on other laboratory parameters, while 99 were considered to have SMM and observed. Thus, 33 patients with a positive PET-CT and 99 patients with a negative PET-CT were observed without therapy; the rate of progression to MM within 2 years was then compared between these 2 groups. Nineteen of 33 patients (56%) with a positive PET-CT and observed as SMM progressed to active myeloma within 2 years; in contrast 27 of 99 patients (28%) with a negative PET-CT observed as SMM progressed within 2 years, P=0.0034. We then restricted the analysis to patients in whom the PET-CT was done within 90 days of diagnosis of SMM. The rate of progression within 2 years in this subset was 74% (14 of 19 patients) among those with a positive PET-CT versus 27% (12 of 44 patients) with a negative PET-CT, p=0.0015 (see Figure). Among these patients, the relative risk of progression with a positive PET-CT was 2.7 (95% CI 1.6-4.7). The median time to progression with positive PET-CT was 16 months versus 55 months with negative PET-CT, P=0.0001. Among the 19 patients with a positive PET-CT observed as SMM, the rate of progression was 77% (10 of 13 patients) among those with evidence of underlying osteolysis, and 66% (4 of 6 patients) among those without evidence of osteolysis.
Conclusions: Patients with a positive PET-CT scan and underlying osteolysis when observed without therapy have a high risk (77%) of progression to MM within 2 years. This is probably an underestimate of the true risk since it excludes patients with presumably higher grade lesions on PET-CT were initiated on therapy based solely on the PET-CT finding (n=12 in this cohort). Our findings validate the recent IMWG recommendation that patients with a positive PET-CT and underlying osteolysis should be considered as active myeloma. Patients with a positive PET-CT and no underlying osteolysis are also at increased risk of progression, 66% within 2 years.
No relevant conflicts of interest to declare.
Author notes
Asterisk with author names denotes non-ASH members.

