Abstract
Introduction: The BTK inhibitor, ibrutinib is FDA-approved in MCL and CLL, with activity in the majority of CD20+ B-cell malignancies. As rituximab-combination chemotherapy is today's standard of care in CD20+ B-cell malignancies, we previously investigated and determined ibrutinib antagonizes rituximab-dependent NK-cell mediated cytotoxicity (ADCC) due to ibrutinib's secondary irreversible binding to interleukin-2 inducible tyrosine kinase (ITK) which is required for FcR-stimulated NK cell function including calcium mobilization, granule release, and overall ADCC. We hypothesized that BTK inhibitors, BTK-InhA (ACP-196), BTK-InhB (BGB-3111) and BTK-InhC (undisclosed), each with lower ITK binding, may preserve NK cell function and therefore synergize rather than antagonize rituximab.
Methods: Rituximab and trastuzumab-dependent NK-cell mediated cytotoxicity was assessed using lymphoma and HER2+ breast cancer cell lines as well as autologous CLL tumor cells. In vitro NK cell cytokine secretion, degranulation and cytotoxicity were assessed by IFN-g release, CD107a mobilization and chromium release.
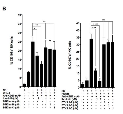
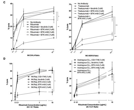
Results: FcR-stimulated NK cells following exposure to rituximab-coated lymphoma cells or trastuzumab-coated HER2+ breast cancer cells express high and moderate levels of ITK and BTK, respectively. Ibrutinib, in a dose-dependent manner (0.1 and 1uM), and not BTK-InhA, BTK-InhB or BTK-InhC (each at 1uM), inhibited both rituximab- and trastuzumab-induced NK cell cytokine secretion in vitro (Fig A *p=.018, **p=.002, ***p<.001). Similarly, BTK-InhA, BTK-InhB, and BTK-InhC had no inhibitory effect while ibrutinib prevented rituximab- and trastuzumab-stimulated NK cell degranulation by ~50% and ~85% at 1uM, respectively (Fig B *p=.034, **p=.024, ***p=.004, ****p=.002). Interestingly, BTK-InhA, BTK-InhB, and BTK-InhC each resulted in greater in vitro cytotoxicity of rituximab-coated, chromium-labeled lymphoma cells compared to ibrutinib at high NK:target cell ratios (Fig C *p=.048, **p=.009). Similarly, only ibrutinib abrogated in vitro cytotoxicity of trastuzumab-coated, chromium-labeled breast cancer cells with no impact due to BTK-InhA, BTK-InhB, or BTK-InhC (Fig C ***p<.001). At a constant NK:target cell ratio (25:1) and at all concentrations of rituximab tested (range 0.1 to 10ug/mL), 1uM of ibrutinib but not CGI-1746, BTK-InhA, BTK-InhB or BTK-InhC, reduced lysis of chromium-labeled Raji and autologous CLL tumor cells by ~4-fold (Fig D *p<.001).
Conclusions: Ibrutinib is clinically effective as monotherapy and in combination with rituximab, despite inhibition of ADCC in vitro and in vivo murine models due to ibrutinib's secondary irreversible binding to ITK. Preclinically, the efficacy of therapeutics which do not inhibit NK cell function, including three novel BTK inhibitors, is superior to ibrutinib. Clinical investigation is needed to determine the impact of this finding on patients with lymphoma receiving rituximab.
Wang:BeiGene: Employment. Lannutti:Acerta Pharma: Employment. Johnson:Acerta Pharma: Employment.
Author notes
Asterisk with author names denotes non-ASH members.


