Abstract
Introduction CBF-acute myeloid leukemia (AML) is a heterogeneous disease that requires prognostic factors for patient differentiation. c-KIT mutations are predominantly detected in CBF-AML among AML cases, and reported frequencies vary significantly. To date, the clinical significance of c-KIT mutations in CBF-AML has been intensively studied; however, the results are controversial and a final conclusion has not been reached. Large-scale studies with subgroup analysis should be performed to elucidate the clinical effects of c-KIT mutations in CBF-AML.
Methods A total of 351 patients with CBF-AML [t(8;21) (n = 253) or inv(16) (n = 98)] were included in this study. Overall, 250 patients [42 pediatric t(8;21);146 adult t(8;21); 11 pediatric inv (16) and 51 adult inv (16)] received standard treatment and underwent follow up. Induction therapy consisted of one or two cycles of combined anthracycline and cytarabine for adult patients, whereas cytarabine, idarubicin, and etoposide were used for pediatric patients. 131, 17, and 93 of the patients further received intermediate-dose cytarabine-based chemotherapy, chemotherapy with auto-hematopoietic stem cell transplantation (HSCT), and chemotherapy with allogeneic (allo)-HSCT for consolidation, respectively. c-KIT mutations in exon 8 and 17 were screened by direct sequencing. Patients who received allo-HSCT were censored at the time of transplantation for relapse and survival analysis to exclude the effects of allo-HSCT on outcome. The median follow up time was 10 months (3 to 93 months) for the 211 living patients.
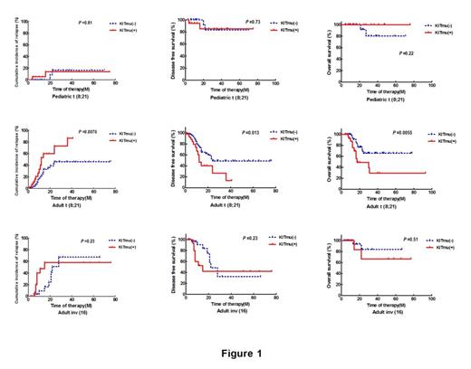
Results Overall, 36.5% (128/351) of the patients were found to have a c-KIT mutation. The frequencies of c-KIT mutations were similar between pediatric and adult patients with t(8;21) AML (41.7% vs. 38.5%, P > 0.05), whereas pediatric patients tended to have higher frequency of c-KIT mutations than the adult patients with inv(16) AML (53.8% vs 25.9%, P = 0.053). In adults, the frequency of c-KIT mutations was significantly higher in patients with t (8;21) than those with inv(16) (P = 0.043). In adults, the frequency of mutations in exon 17 was significantly higher in t(8;21) than inv(16) AML (P < 0.0001). In pediatric group, the frequencies of mutations in exon 17 and exon 8 were similar for t(8;21) and inv(16) AML (P > 0.05). The low PLT count (¡Ü 30∙109/L) in pediatric t(8;21) AML tended to be associated with the presence of c-KIT mutations ( P = 0.063). High white blood cell (WBC) count (>10∙109/L), WBC index, and AML1-ETO transcript levels in adult t(8;21) AML patients were significantly correlated with the presence of c-KIT mutations (P = 0.015, 0.0051, and 0.030, respectively). Moreover, low CBF¦Â-MYH11 transcript levels in adult inv(16) AML tended to be significantly related to c-KIT mutations (P = 0.059). No difference was observed in CR rates between patients with and without c-KIT mutations (P > 0.05). c-KIT mutations were significantly associated with less reduction in fusion transcript levels after the first induction therapy in adult inv(16) patients (P = 0.021). c-KIT mutations in adult t(8;21) AML patients (n = 137) significantly correlated with higher CIR rates at 2 years and low 2-year DFS and OS rates (73.2% vs. 46.2%, P = 0.0070; 26.8% vs. 49.1%, P = 0.013; 48.9% vs. 65.7%, P = 0.0055, respectively. Figure 1). In contrast, c-KIT mutations had no impact on CIR, DFS, and OS rates in pediatric t(8; 21)(n = 42), as well as in adult inv (16) (n = 51; all P > 0.05. Figure 1). Multivariate analysis demonstrated that c-KIT mutation was the only independent prognostic factor for relapse (hazard ratio (HR) = 2.47, 95% CI = 1.25 to 4.86, P = 0.009) and DFS (HR = 2.23, 95% CI = 1.17 to 4.41, P = 0.016). Moreover, c-KIT mutation and PLT count were independent prognostic factors for OS (HR = 3.68, 95% CI = 1.57 to 8.63, P = 0.003; HR = 0.37, 95% CI = 0.16 to 0.87, P = 0.023).
Conclusion CBF-AML is a heterogeneous disease with regard to c-KIT mutations. c-KIT mutations have a strong adverse impact on relapse and survival in adult t(8;21) AML.
Grant support Nature Science Foundation of China (81170483 and 81370639) and Beijing Municipal Science & Technology Commission£¨Z141100000214011).
No relevant conflicts of interest to declare.
Author notes
Asterisk with author names denotes non-ASH members.
