Abstract
Plasma concentration of activated factor VII (FVIIa)-antithrombin (AT) complex has recently been proposed as a marker of intravascular exposure of tissue factor (TF) and, thus, of activation of the extrinsic pathway of coagulation cascade. However, the results of studies investigating the potential relationship between FVIIa-AT complex and coronary artery disease (CAD) are only preliminary so far. The aim of this study was to investigate the predictive value of FVIIa-AT plasma concentration for total and cardiovascular mortality in the setting of secondary prevention of CAD.
Within the framework of the Verona Heart Study (VHS), we selected a cohort of 510 patients with angiographically proven CAD (mean age 61.8±10.6 years; females 23.7%), who were not taking anticoagulant drugs at time of enrolment and for whom plasma citrate samples for FVIIa-AT assay were available. These patients were prospectively followed for a median period of 64 months. Plasma concentration of FVIIa-AT complex was determined by ELISA. Moreover, patients were genotyped for FVII -323 del/ins (A1/A2) promoter polymorphism.
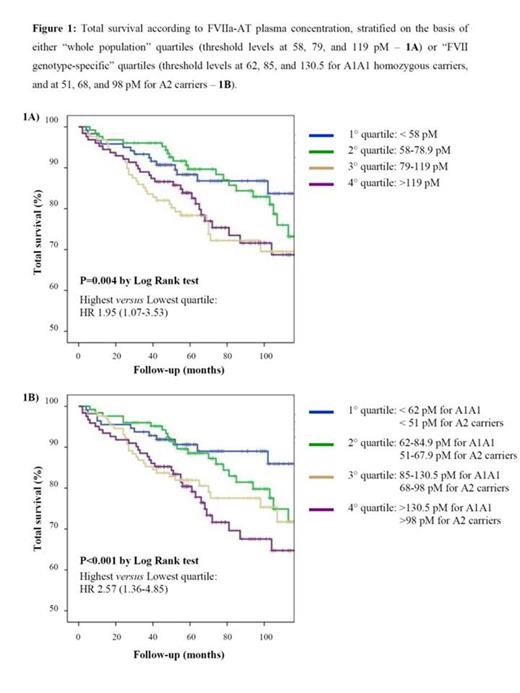
The majority of patients had severe CAD and received surgical or endovascular coronary revascularization during the period 1999–2006 (81.8%). Eight patients had peri-operative deaths and were excluded from subsequent analyses. During follow-up, 105 (20.9%) subjects died, with 68 (13.5%) events attributed to cardiovascular causes. CAD patients who died had a significantly higher plasma concentration of FVIIa-AT than those survived (P=0.002). Stratifying the study population on the basis of the FVIIa-AT quartiles, we noted an evident increase of both total and cardiovascular mortality for the subjects in the two upper quartiles (Figure 1A). CAD patients with plasma concentration of FVIIa-AT higher than the median value (79 pM) had an increase in both total and cardiovascular mortality than those with lower values (26.7% versus 15.0%, P=0.001, and 17.3% versus 9.7%, P=0.006 by Log Rank tests, respectively).
After adjustment for the other predictors of mortality at univariate analysis (i.e. sex, age, number of coronary vessels involved, MI history, hypertension, diabetes, BMI, renal function, and hs-CRP concentration), elevated FVIIa-AT (≥79 pM) significantly predicted both total and cardiovascular mortality (HR for total and cardiovascular mortality: 2.24 (1.35-3.70) and 1.92 (1.02-3.61), respectively). Such associations remained significant also after adjustment for left ventricular ejection fraction (HR for total and cardiovascular mortality: 1.91 (1.21-3.03) and 1.86 (1.03-3.34), respectively), as well as for the main cardiovascular therapies at discharge, like beta-blockers, ACE-inhibitors, statins, and antiplatelet/anticoagulant drugs (HR for total and cardiovascular mortality: 1.67 (1.08-2.59) and 1.77 (1.01-3.11), respectively). In a subgroup of subjects for whom data of FVIIa were available (n=191), FVIIa-AT concentration remained significantly associated with mortality, while FVIIa levels had no prognostic role.
The FVII -323 del/ins (A1/A2) promoter polymorphism is well know to be associated with FVII/FVIIa levels. The A2 allele, that results in a decrease of FVIIa levels, was consistently associated with lower FVIIa-AT plasma concentration in our study-population (71.5 pM in A2 carriers versus 89.3 pM in A1A1 homozygous carriers, P<0.001 by t-test). Remarkably, the predictive model of FVIIa-AT plasma concentration appeared to be improved when stratified on the basis of FVII genotype-specific threshold levels (Figure 1B - HR 2.57 (1.36-4.85) comparing the highest versus the lowest quartile according genotype-specific thresholds, while the HR was 1.95 (1.07-3.53) according whole population thresholds).
In this study high plasma concentrations of FVIIa-AT complex were an independent predictor of both total and cardiovascular mortality in patients with angiographically demonstrated CAD, speculatively reflecting a prothrombotic diathesis due to TF-related activation of coagulation cascade. Moreover, the predictive model appeared to be improved by using FVII genotype-specific threshold levels of FVIIa-AT concentration, addressing the interest on TF-related pathways.
In summary, FVIIa-AT plasma concentration may be a useful prognostic marker in the setting of secondary prevention of CAD.
No relevant conflicts of interest to declare.
Author notes
Asterisk with author names denotes non-ASH members.
