Abstract
Abstract 956
Autologous SCT has been an integral part of myeloma therapy since randomized trials demonstrated improved survival for SCT compared to conventional therapy. However, the conventional treatment of MM has changed with the introduction of novel therapies such as IMiDs and there is an increasing trend towards delaying SCT. While trials in the pre-novel agent area have shown equivalent outcomes with early or delayed SCT, it is not clear if this holds true with novel agent induction.
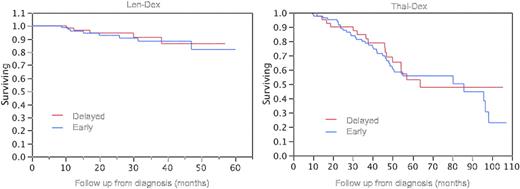
We reviewed the outcome of patients seen at Mayo Clinic between 2001 and 2008, who received initial therapy with thalidomide-dexamethasone (TD) or lenalidomide-dexamethasone (LD) (n=410). All patients in whom a stem cell harvest was attempted (started on growth factor irrespective of collection success; n=292, 71%) were included as a method to identify transplant eligible patients. Patients undergoing SCT within 12 months of diagnosis and in whom the SCT was performed within 2 months of stem cell harvest were considered in the early SCT group vs. delayed SCT for the remaining patients irrespective of whether an SCT was actually done (immediate vs. collect and store approach). Variables were compared between the groups using a chi-square or t-test as appropriate. Survival curves were generated using Kaplan Meier method and compared using log rank test.
Among the 292 transplant eligible patients, 125 (43%) received TD and 167 (57%) received LD as initial therapy. An early SCT approach was undertaken in 174 patients 60%, with the remaining 118 in the delayed group, 46 of whom have been transplanted to date. The median estimated follow up for the entire group was 54 months from diagnosis, 52 and 61 months respectively for the early and delayed groups. The median estimated time to SCT was 5.3 months among the early group compared to 39 months in the delayed group COMMENTS/* MERGEFORMAT . 83 (66%) patients receiving TD had an early SCT compared to 91 (55%) patients in the LD group; p =0.04. At baseline, the groups were comparable for age and gender. The median overall survival from diagnosis was 86 months for the early SCT compared to NR for the late SCT; P=0.3. The median OS was similar between the Early and Delayed group in the TD group (86 vs. 64 months respectively) as well as in the LD group (NR for either group; 82% vs. 86% at 4 years respectively).
In this group of newly diagnosed patients treated with thalidomide or lenalidomide as initial therapy, an approach of continued initial therapy and delayed transplant at the time of first relapse appears comparable to upfront transplant. This is consistent with the findings of randomized trials in the setting of alkylator based initial therapies. The timing of transplant in the era of novel agents remains the top question on the mind of physicians and patients, and this is the first study to examine this very important question. The rationale governing the decision to go forward with an early SCT or delayed transplant is difficult to ascertain for any particular patient in this retrospective study. These findings should be confirmed in prospective randomized trials.
Kumar:celgene: Research Funding; millenium: Research Funding. Gertz:celgene: Honoraria; millenium: Honoraria, Membership on an entity's Board of Directors or advisory committees.
Author notes
Asterisk with author names denotes non-ASH members.
