Abstract
Abstract 3318
Poster Board III-206
Late-onset noninfectious pulmonary complications (LONIPCs) are life-threatening complications for allogeneic hematopoietic stem cell transplantation (allo-HSCT) recipients. However, the impact of LONIPCs on survival has not been properly evaluated and little is known about treatment efficacy for LONIPCs.
We retrospectively studied 290 consecutive adult patients (age 16 to 67 years old, median 40 years old) with hematological disorders who underwent allo-HSCT at the University of Tokyo Hospital, Japan, between June 1995 to December 2007, and survived at least 60 days after allo-HSCT. The diagnosis of LONIPCs was made when a patient fulfilled all of the following criteria: 1) respiratory symptoms developed after 60 days of allo-HSCT, 2) no evidence of infection was detected despite intensive examinations, 3) at least one of the following abnormalities are observed: a) abnormal interstitial shadows on chest computed tomography (CT), b) pathological diagnosis of interstitial pneumonia or bronchiolitis obliterans (BO), c) pulmonary function tests (PFTs) revealed obstructive or mixed pattern and FEV1 declined to less than 80 % of the predicted value, or FEV1 declined at least 20 % from baseline. According to these criteria, 44 patients were diagnosed as having LONIPCs. Then we classified them into BO and non-BO subgroups based on PFTs and CT. We compared the clinical aspects and outcome between patients who developed and did not develop LONIPCs. Time-dependent analysis was employed to conduct survival analysis. Furthermore, we analyzed the effect of treatment on outcomes.
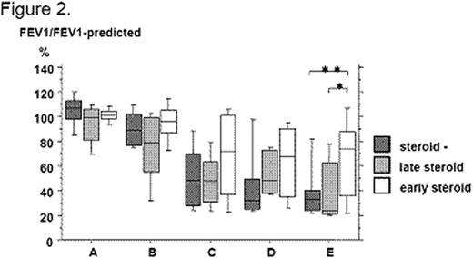
Onset of LONIPCs was significantly associated with higher rates of chronic graft-versus-host disease (p<.001) and higher rates of non-relapse mortality (p=.013), and lower rates of relapses (P=0.009). As a result of these effects, overall survival (OS) was significantly worse in those with LONIPCs (p=.003) than those without as shown in Figure 1. Next, we assessed short-term treatment responses and final outcomes. These results were defined by radiological findings, subjective symptoms, oxygen requirement, and survival. Use of inhaled and systemic steroids did not affect either short-term response or final outcomes. However, administration of systemic corticosteroids earlier than 21 days (median interval of time from onset of symptoms to systemic corticosteroids administration) was associated with better outcomes (P=0.054 for short-term response, and P=0.016 for final outcomes). This tendency was also observed when we analyzed BO subgroup's final outcome (P=0.041). As for PFTs, FEV1/FEV1-predicted values before HSCT (A; n=40), between HSCT and onset of respiratory symptoms (B; n=22), at the diagnosis of LONIPCs (C; n=33), during the first 2 months of treatment (D; n=18) and at last follow up (E; n=30) were shown in Figure 2. Patients who received systemic corticosteroids before 21 days from onset of symptoms (early steroid) had significantly less deterioration of FEV1 at last follow up than those who received after 22 days from onset (late steroid) and patients who were not administered (steroid-) (*P=0.033, **P=0.039).
Our study indicates that LONIPCs negatively affects OS, and early intervention with systemic corticosteroids might be effective in terms of OS and reservation of PFT.
No relevant conflicts of interest to declare.
Author notes
Asterisk with author names denotes non-ASH members.

