Abstract
Introduction: During storage of cell containing components including PRBCs and Aplts, biologically active compounds such as lysophosphatidylcholine and other lipids are generated. Identified by their ability to enhance the fMLP stimulated respiratory burst in neutrophils, these biologic response modifiers (BRMs) have been implicated in the pathogenesis of transfusion related acute lung injury (TRALI). The Mirasol pathogen reduction system is a process that uses riboflavin and UV light to modify nucleic acids, reduce infectious pathogen load and inactivate white blood cells in blood components. An additional effect of the Mirasol in PRBCs and Aplts is a decrease in priming activity accumulated during storage.
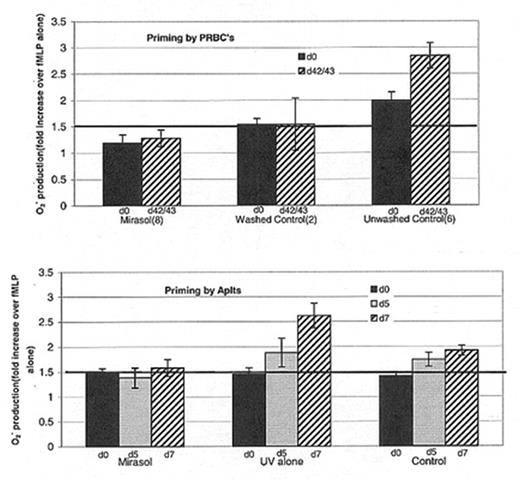
Methods: PRBCs were produced by standard technique from whole blood donation. PRBCs were treated with Mirasol (8) and stored; untreated, washed and stored in AS-3 additive solution (2); or produced untreated and stored in AS-3 (6). For platelets collected on Trima, one set of products was treated with Mirasol procedure on day 0. Another set was exposed to 25Gy of gamma irradiation. The control group was untreated and stored under standard conditions. Samples were removed on day 0 and 43 (PRBCs) and day 0, 5, 7 (Aplts); cells removed from residual supernatant/plasma by centrifugation and frozen at -70°C. Samples (10% by volume) were assayed to measure the ability to enhance the fMLP stimulated superoxide anion production (O2−) by peripheral blood neutrophils. O2− was measured as SOD inhibitable cytochrome c reduction and expressed as a ratio of the response to plasma followed by fMLP compared to fMLP alone. Priming by platelet activating factor (PAF) was a positive control. Priming is defined as >1.5 fold increase in O2− over the results for fMLP alone.
Results: Samples from Mirasol treated PRBCs show no enhancement of fMLP stimulated O2− production either at day 0 or after 43 days of storage (Top figure). Washed controls exhibit a similar pattern. Unwashed controls demonstrate a small amount of priming on day 0 which further increased on day 43. For Aplts (Bottom figure), day 0 samples exhibited minimal priming. For Mirasol treated products, no changes were seen on days 5 and 7. In contrast, both gamma irradiated and untreated Aplts showed an increase comparable to that seen with PAF.
Conclusion: Treatment of PRBCs and Aplts with Mirasol reduced the generation of priming activity normally developed during storage, possibly representing a decrease in production of BRMs including priming lipids. Mirasol treatment of cell containing components may reduce one class of etiologic agents associated with TRALI and may be a potential approach to reduce risk for this adverse event of transfusion.
Author notes
Disclosure:Employment: Marschner and Goodrich are employees of Navigant. Research Funding: Studies completed with support from Navigant.
