Abstract
According to WHO’s current criteria, follicular lymphoma is morphologically divided into grades 1, 2, and 3, and grade 3 is further subdivided into 3a and 3b, depending on the presence of centrocytes and solid sheets of centroblasts. The clinical relevance of this grading system is unclear. Although there is consensus that grades 1 and 2 share clinical characteristics of indolent lymphoma, it is debated whether grade 3 should be treated intensively with anthracycline-containing regimens. Furthermore, the 3a/3b subdivision is not universally implemented. We wanted to investigate the clinical relevance of the grading system with respect to clinical characteristics, treatment and survival. Totally, 186 cases were diagnosed between January 1994 and January 2004 in South Stockholm County with de novo follicular lymphoma and without concomitant transformation. The biopsies were re-graded according to the current WHO criteria by two experienced hematopathologists. 129 cases were grade 1 or 2, 44 grade 3a, and 13 grade 3b. Clinical characteristics in the patients with follicular lymphoma grade 1–2 and 3a are shown in Table 1.
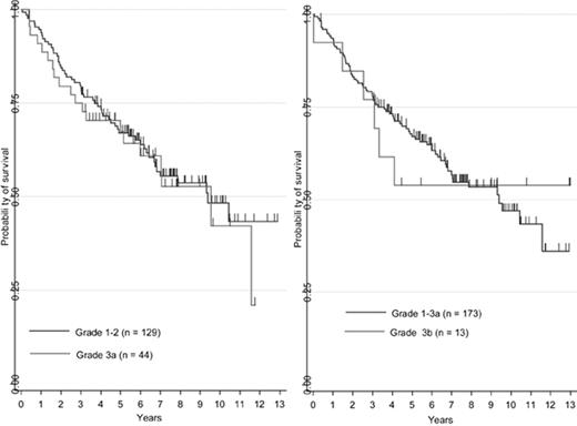
The local policy has been to treat all patients with grade 3 disease aggressively. In grade 3a disease, front-line anthracyclines did not seem to improve overall survival (Figure 1).
Grades 1–2 and 3a show similar overall survival curves of indolent and incurable lymphoma, while the 13 patients with grade 3b disease (of whom 12 received aggressive front-line therapy) seem to reach a plateau after four years (Figure 2).
We conclude that follicular lymphoma grade 3a is not clinically different from grade 1 and 2 disease, and that patients with grade 3a do not seem to benefit from front-line anthracyclines. Although our findings are limited by the few cases of grade 3b, it seems that grade 3b is another disease entity and, when treated aggressively, it is maybe curable with chemotherapy. The histopathological distinction between grade 3a and 3b is clinically of great importance.
| . | Grade 1–2 . | Grade 3a . | P . |
|---|---|---|---|
| Clinical characteristics in patients with follicular lymphoma grade 1-2 and 3a. | |||
| Age >60 years | 50% | 61% | NS |
| Elevated LDH | 32% | 49% | 0.046 |
| Stage III or IV | 68% | 80% | NS |
| Front-line anthracyclines | 41% | 73% | 0.0004 |
| Subsequent transformation | 21% | 19% | NS |
| . | Grade 1–2 . | Grade 3a . | P . |
|---|---|---|---|
| Clinical characteristics in patients with follicular lymphoma grade 1-2 and 3a. | |||
| Age >60 years | 50% | 61% | NS |
| Elevated LDH | 32% | 49% | 0.046 |
| Stage III or IV | 68% | 80% | NS |
| Front-line anthracyclines | 41% | 73% | 0.0004 |
| Subsequent transformation | 21% | 19% | NS |
Figure
Figure
Author notes
Disclosure: No relevant conflicts of interest to declare.

