TRANSPLANTATION
Graft-versus-host disease (GVHD) after allogeneic transplantation results from alloreactivity between donor and recipient cells. However, the pathophysiology of GVHD relates not only to genetic disparity between donor and recipient but also to triggers such as cytokines produced in response to conditioning regimens and bacterial lipopolysaccharide (LPS), which activate host antigen-presenting cells.1 Transfer of LPS into the circulation is considered a crucial component in the initiation of GVHD, and studies in murine models have shown that administration of an LPS antagonist significantly reduces cytokine secretion and GVHD severity.2
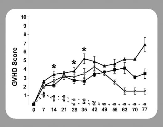
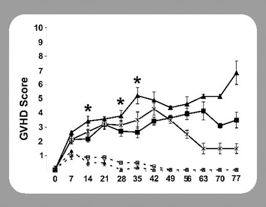
Many transplant units routinely use gut decontamination regimens to reduce the risk of GVHD, and some studies confirm that antimicrobial chemotherapy targeted to intestinal anaerobic bacteria in marrow transplant recipients can significantly reduce the severity of acute GVHD.3 As recent evidence suggests that therapy with probiotic bacteria such as lactobacilli may be effective in inflammatory bowel disease, an alternate approach would be to modify the intestinal microflora using probiotic organisms. In this issue of Blood, Gerbitz and colleagues (page 4365) test the hypothesis that modifying the enteric flora by using a probiotic microorganism will ameliorate GVHD. In a murine haploidentical transplant model characterized by damage to bowel mucosa, high serum LPS levels, and release of proinflammatory cytokines, they show that outcome is improved and GVHD reduced in mice fed lactobacillus compared with mice receiving ciprofloxacin or controls. This reduction in GVHD was associated with a reduced early mortality and a lower concentration of translocated organisms into mesenteric lymph nodes, although there was no change in LPS levels. Histology studies showed reduced inflammation, suggesting that an intact intestinal barrier contributed to lower bacterial penetration.
While these results are preliminary and require confirmation and extension in other preclinical models, they provide justification for the further evaluation of probiotics to reduce GVHD after transplantation. The possibility of using yogurt rather than antibiotics would likely be more attractive for many patients.

