Abstract
The discovery of an activating tyrosine kinase mutation JAK2V617F in myeloproliferative neoplasms (MPNs), polycythemia vera (PV), essential thrombocythemia (ET) and primary myelofibrosis (PMF) has resulted in the development of JAK2 inhibitors, of which several are being evaluated in phase I/II clinical studies. It is important to recognize that because the V617F mutation is localized in a region outside the adenosine triphosphate (ATP)-binding pocket of JAK2 enzyme, ATP-competitive inhibitors of JAK2 kinase (like the current JAK2 inhibitors in the clinic) are not likely to discriminate between wild-type and mutant JAK2 enzymes. Therefore, JAK2 inhibitors, by virtue of their near equipotent activity against wild-type JAK2 that is important for normal hematopoiesis, may have adverse myelosuppression as an expected side effect, if administered at doses that aim to completely inhibit the mutant JAK2 enzyme. While they may prove to be effective in controlling hyperproliferation of hematopoietic cells in PV and ET, they may not be able to eliminate mutant clones. On the other hand, JAK inhibitors may have great therapeutic benefit by controlling the disease for patients with MPNs who suffer from debilitating signs (eg, splenomegaly) or constitutional symptoms (which presumably result from high levels of circulating cytokines that signal through JAK enzymes). Indeed, the primary clinical benefits observed so far in MF patients have been significant reduction is splenomegaly, elimination of debilitating disease-related symptoms, and weight gain. Most importantly, patients with and without the JAK2V617F mutation appear to benefit to the same extent. In this review we summarize current clinical experience with JAK2 inhibitors in MPNs.
Virtually every intracellular signal transduction pathway is wired through a phosphotransfer cascade mediated by kinases.1 Humans express more than 500 kinases that phosphorylate distinct proteins, typically on the tyrosine, serine or threonine residues. Janus-associated kinase 2 (JAK2) is one member of a family of four cytoplasmic tyrosine kinases that also includes JAK1, JAK3 and Tyk2.2 The JAK enzymes are required for signaling by cytokine and growth factor receptors that lack intrinsic kinase activity.3,4 There appear to be some overlapping roles for JAK family members, as most signaling pathways involve more than one JAK, with the exception of some growth factors such as erythropoietin and thrombopoietin, which only utilize JAK2. JAK1 plays a major role in mediating the signaling of a number of proinflammatory cytokines, often in association with other JAK family members. JAK3 plays a major role in mediating immune function by transmitting interleukin (IL)-2 generated signals. Tyk2 appears to function in association with JAK2 and JAK3 to transduce signaling of cytokines such as IL-12 and IL-23. Much of our current understanding of the role of JAK enzymes comes from studies using mice with targeted deletion of each of the JAK family members.3 JAK1 knockout mice exhibit a perinatal lethal phenotype that is believed to be due to impaired suckling. These mice also have defective lymphoid development and function as a result of defective signaling by cytokines through JAK1. JAK2 deficiency results in embryonic lethality at day 12 as a result of a failure in definitive erythropoiesis. JAK3-deficient mice have severe combined immunodeficiency (SCID) phenotype but do not have non-immune defects.
Aberrant signal transduction by a tyrosine kinase can be leukemogenic, and several lines of evidence support the conclusion that JAK/STAT signaling is exaggerated in hematological malignancies and likely contributes to disease pathogenesis.3,5,–7 These include, for example a) the demonstrated ability of JAK/STAT to increase the transcription of genes such as c-Myc, cyclin D, Mcl-1, and Bcl-XL that affect growth, proliferation, survival and differentiation of malignant cells; b) the finding that high levels of negative regulators of JAK signaling, including silencer of cytokine signaling (SOCS) and phosphatases (such as SHPs and PTPs), are a common occurrence in hematological malignancies; and c) high levels of cytokines and growth factors that signal through JAK enzymes are found in various hematological cancers. Activating mutations in different JAK tyrosine kinases family members have been described in hematologic malignancies.8 Activating mutations in JAK1 have been discovered recently in adult T-cell precursor acute lymphoblastic leukemia (ALL).9 ALL patients with JAK1 mutation had significantly reduced disease-free survival and overall survival, as compared with patients without the mutation.
Discovery of an activating tyrosine kinase mutation known as JAK2V617F in myeloproliferative neoplasms (MPNs)—polycythemia vera (PV), essential thrombocythemia (ET) and primary myelofibrosis (PMF)—has generated a great deal of interest in targeting JAK2 as a potential approach to treat MPNs.10 The mutation occurs in the pseudokinase domain of an enzyme JAK2 and results in the impaired ability of the mutated pseudokinase domain to negatively regulate the kinase domain (an active part of an enzyme) of JAK2.11 Unchecked JAK2 activation, a key signaling enzyme for many growth factors and cytokines, is believed to play a major role in the pathophysiology of MPNs. Nearly all patients with PV and more than half of the patients with ET and PMF have the JAK2V617F mutation, albeit at different levels of allele burden (the ratio between mutated JAK2V617F DNA and total JAK2 DNA).12 Although JAK2V617F appears to be the most common mutation associated with MPNs, other mutations that also abnormally activate JAK2 have been identified (such as MPLW515L/Kin the MPL receptor,13 and additional JAK2 mutations residing in exon 12)14 in the small percentage of patients with MPN who did not have JAK2V617F mutation. All these mutations confer hypersensitivity to, or independence from, hematopoietic cytokines, resulting in abnormal proliferation and survival of affected stem cells. Enforced expression of these mutations in mice, either by transgenic expression or by retroviral transfer to the bone marrow stem cells, results in PV, ET and post-PV/ET myelofibrosis (MF) phenotypes, suggesting a potentially causal role for these mutations in MPNs. Recently three independent groups published studies identifying a genetic haplotype that predisposes to the subsequent development of JAK2V617F mutation and MPN, thereby providing evidence for an inheritable predisposition to developing JAK2V617F mutation through somatic mutation.15,–17 These reports further contributed to the growing evidence that JAK2V617F mutation is not an abnormality causing MPN, but rather a contributing factor for disease existence.18,19 Identification of the abnormalities that lead to the existence of MPN, and to the distinct clinical entities of PV, ET, and PMF in humans, is a subject of intense investigation.20,21
JAK2 as a Therapeutic Target
Since the discovery of the BCR-ABL kinase inhibitor imatinib, great advances have been made in developing kinase inhibitors with exquisite selectivity and potency. Most of the drug discovery efforts on the identification of kinase inhibitors have been focused on ATP-mimetic small molecule inhibitors.22 Given that JAK2 is a tyrosine kinase, the discovery of activating mutations naturally resulted in a great deal of excitement and optimism in identifying and developing JAK2 inhibitors for the treatment of MPNs.23 JAK2V617F–mutated enzyme is often compared to the BCR-ABL oncoprotein from the standpoint of drug development.24 However, because no known vital function for endogenous ABL kinase has been identified, BCR-ABL inhibitors can be administered at doses that completely inhibit BCR-ABL and eliminate BCR-ABL–positive cells without concerns for mechanism related adverse effects. In contrast, it is important to recognize that because of the localization of the V617F mutation in a region outside the ATP-binding pocket of JAK2 enzyme, ATP-competitive inhibitors of JAK2 kinase are not likely to distinguish between wild-type and mutant JAK2 enzymes. Therefore, JAK2 inhibitors, by virtue of their near equipotent activity on wild-type JAK2, which is important for normal hematopoiesis, should have adverse myelosuppression as an expected side effect if administered at doses that aim to completely inhibit the mutant JAK2 enzyme. While they may prove to be effective at controlling hyperproliferation of hematopoietic cells in PV and ET, they may not be able to eliminate mutant clones in a manner similar to BCR-ABL inhibitors.24 On the other hand, JAK inhibitors may have great therapeutic benefit by controlling the disease for patients with MPNs who suffer from debilitating signs (eg, splenomegaly) or constitutional symptoms that presumably result from high levels of circulating cytokines that signal through JAK enzymes.
JAK2 Inhibitors in Clinical Development for MPNs
A number of JAK2 inhibitors have been discovered and are currently being developed for MPNs. These early clinical trials are focused on patients with MF, among different MPNs, because of the serious unmet medical need of this condition. The life expectancy of patients with MF is shortened to about 5 to 7 years on average, and there is no approved therapy for this condition. Clinical studies are suitable for patients with MF with intermediate and high risk disease who need medical intervention to help them cope with advanced features of MF. The decision of whether to participate in a clinical study should be made between treating physicians and patients on a case by case basis, and it should include discussion about possible other forms of medical therapy (eg, hydroxyurea, thalidomide, or danazol), including bone marrow transplantation. While bone marrow transplantation is a therapeutic option that potentially may eliminate the disease and provide long-term disease-free survival for patients with MF, great majority of patients with MF are elderly and/or have medical comorbidities precluding transplant. Four JAK2 inhibitors are in development for which preliminary clinical findings are publicly available through publications or oral presentations.
INCB018424
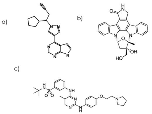
The JAK2 inhibitor INCB018424 was the first to be evaluated in PMF and post-PV/ET MF; it entered clinical trials in mid-2007. INCB018424 (structure exemplified in PCT/US2008/066662; Figure 1 ) is a potent and selective inhibitor of JAK1 and JAK2 with IC50 of 3.3 and 2.8 nM, respectively (Table 1 ). It demonstrated modest selectivity against Tyk2 (~ 6-fold) and marked selectivity (≥ 130-fold) against JAK3.25 No significant inhibition against a commercial panel of 26 additional kinases was observed when INCB018424 was tested at a concentration approximately 100-fold the IC50 of JAK1 and JAK2. INCB018424 inhibited the proliferation of BaF/3 cells (IC50 = 126 nM) and HEL cells (IC50 = 186 nM) with JAK2 mutation, but not TF-1 cells transformed with BCR-ABL, or cell lines expressing activating mutations in c-KIT at concentrations up to 8 mM. INCB018424 inhibited hematopoietic progenitor cell colony formation from CD34+ cells isolated from PV patients and did so more potently than with cells from normal donors, particularly when studied in the absence of saturating levels of hematopoietic growth factors.25 In a murine model of JAK2V617F-driven malignancy, INCBΦ18424 treatment resulted in significant attenuation of spleen growth and significantly increased mice survival compared with mice treated with vehicle alone.25 This was accompanied by a dramatic decrease in circulating levels of pro-inflammatory cytokines, IL-6 and tumor necrosis factor (TNF)-α, which have been implicated in the pathogenesis of MPNs.
Results of a phase I dose-escalation study using a starting dose of 25 mg twice daily of INCB018424 demonstrated an unprecedented degree of reduction of splenomegaly and improvement of constitutional symptoms in a great majority of treated patients, regardless of JAK2 mutational status.25 The dose-limiting toxicity of this molecule has been thrombocytopenia, which may be related to inhibition of thrombopoietin signaling that requires JAK2. Pharmaco-dynamic and biomarker studies with INCB018424 in patients with MF have shown normalization of exaggerated STAT3 signaling and significant suppression of pro-inflammatory cytokines such as IL-1, TNF-α, and IL-6, and angiogenic and fibrogenic factors such as vascular endothelial growth factor (VEGF) and basic fibroblast growth factor (bFGF).25 This study was expanded into phase II to evaluate INCB018424 using different doses and dosing regimens and has so far accrued more than 150 patients.26 To date, investigators have observed marked and durable clinical benefits (lasting more than 1 year) including reduction in splenomegaly, alleviation of constitutional symptoms, increased body weight, and reduction of plasma concentrations of proinflamatory and angiogenic cytokines and growth factors in a majority of patients.26,–28 Despite significant clinical improvements in patients treated with INCB018424, the JAK2V617F allele burden was reduced only modestly (13% in the marrow and 9% in the peripheral blood), suggesting the rapid clinical benefits of INCB018424 treatment may be the result of inhibition of aberrant JAK2 and, perhaps, JAK1 signaling and subsequent reductions in cytokine levels, rather than due to the reduction in mutant allele burden.29 Phase III approval studies of INCB018424 have recently been initiated in the US and Europe.
CEP-701
CEP-701 (lestaurtinib), a derivative of the indolocarbazole K252, is a straurosporine analog (Figure 1 ). It demonstrated potent inhibitory activity of JAK2 kinase (IC50 = 1 nM), in addition to a number of other kinases including FLT-3, RET and Trk-A.30 CEP-701 was evaluated in a number of in vitro assays utilizing engineered cells such as BaF/3 cells expressing JAK2V617F, cell lines such as HEL cells, and primary cells from MPN patients. CEP-701 inhibits the growth of HEL cells (dependent on mutant JAK2 activity) in vitro and in xenograft model. Erythroid cells expanded from primary CD34+ cells from patients with MPNs were inhibited by CEP-701 at concentrations of 100 nM or more, in 15 of 18 subjects, with concomitant inhibition of phosphorylation of STAT5 and other downstream effectors of JAK2. By contrast, growth of erythroid cells derived from 3 healthy controls was not significantly inhibited.30
Prior to phase II studies in MPNs, CEP-701 had been evaluated in a number of oncology clinical trials, which established the dose of 80 mg BID by mouth as recommended for hematologic malignancy trials. CEP 701 is being evaluated in patients with MF, PV and ET positive for JAK2V617F mutation. In the MF study 22 patients received CEP-701, most of whom (90%) were previously treated, presented with splenomegaly (90% of patients) with a median size from left costal margin of 19 cm, and with a median allele burden of 53%.31 Eight patients (36%) were transfusion dependent at study entry. Median time on study was 4 months and responses were seen in 6 patients (27%) by International Working Group for Myelofibrosis Research and Treatment (IWG-MRT) criteria. All responses were defined as Clinical Improvement by IWG-MRT criteria and consisted of reduction in spleen size alone in 3 patients, transfusion independency in 2 patients, and reduction in spleen size together with improvement in neutrophil counts and platelets in 1 patient.31 There was no change in JAK2 allele burden, bone marrow fibrosis, or cytogenetics during therapy. Median time to response was 3 months and median duration of response 14 months (range 3–17 months). Main toxicities were anemia (grades 3–4: 18%), thrombocytopenia (grades 3–4: 18%) and diarrhea (all grades: 68%; grades 3–4: 9%).31 Currently, a phase I study is being conducted with CEP-701 in MF patients to evaluate whether more than 80 mg BID can be safely administered to this group of patients. Separately, CEP-701 was evaluated in 11 patients with ET and 12 patients with PV in a phase II study, using standard 80 mg BID dose.32 Sixty-five percent of the patients were on concurrent hydroxyurea therapy and 43% presented with splenomegaly at study entry. The responses to CEP-701 treatment included reductions in spleen size and reduction in JAK2V617F allele burden in a limited number of patients, with reductions in hemoglobin, normalization of iron and erythropoietin status. However, increases in platelets and white blood cells were observed in some patients.32
XL019
XL019 is a potent and selective inhibitor of JAK2 kinase (IC50 = 2 nM) that demonstrated a high degree of selectivity against other JAK family members.33 Preclinical evaluation of XL019 included in vitro assays using cell lines such as HEL erythroleukemia cells and primary human cells, such as erythroid cells stimulated with EPO, T-cells stimulated with IL-2, and B cells stimulated with IL-6. XL019 showed more than 10-fold selective inhibition (IC50 = 64 nM) of STAT5 phosphorylation following EPO stimulation of erythroid cells compared with other cell systems.33 In in vivo studies using HEL xenograft models, XL019 administration resulted in the suppression of STAT5 phosphorylation with an IC50 of 42 mg/kg.33 XL019 was evaluated in a phase I/II study in patients with primary MF and post-PV and post-ET MF. Initial phase I dose escalation began with a starting dose of 100 mg daily × 21 days of a 28-day cycle given orally and escalated to 300 mg. While spleen size reduction was observed in patients positive for mutant JAK2 or MPL, adverse neurotoxicity observed in all patients at doses >100 mg resulted in revising the doses in the subsequent patients to 25 to 50 mg daily or 25 mg QMWF.34 Thirty patients were enrolled, with 21 patients at doses ≤ 50 mg. Greater than 50% reduction in splenomegaly was noted in 50% of patients given ≥ 100 mg (21 days on and 7 days off) or 25 mg daily continuously and in 20% of patients given 25 mg QMWF. Improvement in anemia (2 patients), decreased WBC and decreased symptoms such as pruritis and fatigue were also observed.34 Patients in this clinical study included 4 pre-leukemic patients with blasts of 10% to 19%, and reduction of circulating and/or bone marrow blasts was observed in 3 patients treated with 25 mg QWMF. Drug toxicities were non-hematological in nature, primarily mild neurotoxicity such as formication, peripheral neuropathy, confusional state, balance disorder and paresthesia. No hematological adverse events were noted.34 Although mild neurotoxicity was readily reversible, it precluded long-term therapy in most patients, and further evaluation of XL019 is not planned.
TG101348
TG101348 is a selective and potent inhibitor of JAK2.35,36 The IC50 for JAK2 was 3 nM and, when profiled against 223 kinases, only FLT3 and RET had an IC50 < 50 nM. It has a 35- and 334-fold selectivity for JAK2 as compared with JAK3 and JAK1, respectively. Extensive characterization of TG101348 was conducted using multiple in vitro and in vivo systems.35,–37 TG101348 treatment resulted in apoptosis in HEL cells and in BaF/3 cells harboring the JAK2V617F at concentrations of 305 nM and 270 nM, respectively, while much higher concentrations were required to induce apoptosis in fibroblasts. Using primary patient samples obtained from PV patients, it has been demonstrated that TG101348 inhibited hematopoietic progenitor colony formation and erythroid engraftment. In a murine model of JAK2V617F-induced PV, mice treated with TG101348 showed a decrease in hematocrit, spleen size and longer overall survival. TG101348 was evaluated in a phase I/II study in patients with PMF, post-PV MF and post-ET MF using oral administration in 28-day cycles.38 Intrapatient dose escalation was permitted after completion of at least three cycles of therapy. Twenty-eight patients were treated at 8 dose levels from 30 mg to 800 mg daily. Median palpable spleen size was 17 cm and 10 patients were transfusion dependent. The most frequent non-hematological toxicities were grade 1/2 nausea/vomiting (64%) and diarrhea (50%). Grade 3/4 thrombocytopenia and neutropenia were recorded (29% and 11%, respectively), as was anemia in non-transfusion dependent patients (47% had > 2 g drop in Hg). Dose-limiting toxicity at 800 mg was asymptomatic amylasemia and lipasemia; maximum tolerated dosage (MTD) was established at 680 mg/day. Fourteen patients (50%) have experienced a greater than 50% decrease in spleen size, including 5 whose spleen became non-palpable from a pre-treatment spleen size of 4 to 34 cm. All 14 patients with leukocytosis at baseline have experienced a marked reduction in their WBC count. Of the 25 JAK2V617F-positive patients, 8 (32%) have experienced a greater than 50% reduction in granulocyte mutant allele burden during two consecutive readings.38 The expansion phase of the study at the MTD was completed in the spring of 2009 and results are awaited.
Summary
While great strides have been made in understanding the pathogenesis of MPNs, many questions remain. For instance, how does a single mutation such as JAK2V617F contribute to multiple clinical phenotypes and what are the underlying genetic or epigenetic factors at play that result in disease existence and different clinical presentations and outcomes? How do these differences affect response to JAK inhibitors? Whereas recent genetic studies have begun to uncover some of the answers,39,40 it will be important to collect as much data as possible from ongoing and future studies with JAK2 inhibitors to understand the clinical relevance of these findings. For example, it is well established that most JAK2V617F mutation–positive MF patients upon transformation to acute myeloid leukemia become mutation-negative,41 suggesting that the transformative event happens in the pre-JAK2 mutation–positive stem cell. Will the use of JAK2 inhibitors in MF patients have any influence on the biology of the disease and the transformation process? It remains to be seen.
Thus far, a handful of JAK2 inhibitors have been evaluated in clinical trials with variable though promising results. Primary clinical benefits observed so far have been significant reduction is splenomegaly, elimination of debilitating disease-related symptoms, and weight gain. Patients with and without JAK2V617F mutation benefit to the same extent. The majority of the data has come from trials with a selective JAK1/2 inhibitor, INCB018424, so it will be important to compare these findings to data generated with other JAK2-selective compounds to better understand not only the favored selectivity profile but also the reasons patients receive benefit from these slightly different medications. With this knowledge, we will be able to design more appropriate clinical studies and treat patients with specific medications to provide as much benefit as possible without unnecessary toxicity.
Published chemical structures of JAK2 inhibitors in clinical development: A) INCB018424, B) CEP-701, C) TG101348.
Published chemical structures of JAK2 inhibitors in clinical development: A) INCB018424, B) CEP-701, C) TG101348.
Disclosures Conflict-of-interest disclosure: The author declares no competing financial interests. Off-label drug use: None disclosed.
References
Author notes
The University of Texas M. D. Anderson Cancer Center, Houston, TX
