Abstract
Given the paucity of randomized controlled trial data, defining the ideal strategy for surveillance imaging in patients with non-Hodgkin lymphoma (NHL) has become increasingly challenging. The routine use of frequent surveillance scans has been a common component of patient care. Emerging data from prospective and retrospective observational studies and modeling approaches have highlighted the performance characteristics of imaging modalities and the challenges with this form of secondary screening. The majority of patients with relapsed lymphoma have clinical signs or symptoms that prompt further evaluation, and only a small proportion of patients experience relapse detected on a routine scan while being otherwise asymptomatic. Surveillance imaging is costly, may expose patients to minimal risks of mortality due to radiation-related secondary malignancies, and can lead to false-positive findings, leading to unnecessary biopsies. In addition, no prospective study has demonstrated a significant improvement in overall survival for those patients whose disease is discovered on a routine scan versus those who present with clinical symptoms. In this chapter, we examine the baseline risks of relapse for various NHL subtypes that provide the context for surveillance, review the data on imaging modalities, and establish a framework for discussing optimal surveillance strategies with individual patients. Patients should be counseled on the risks and benefits of routine surveillance imaging and decisions regarding surveillance should be made on an individual basis using patient-specific risk factors, response to induction therapy, and patient preferences with a bias toward using surveillance imaging in the 2 years after treatment only in those NHL patients with the greatest likelihood of benefit.
Learning Objectives
To review recent literature regarding the use of routine imaging surveillance for patients with NHL achieving a CR to induction therapy
To develop an approach for counseling patients regarding the risks and benefits of surveillance imaging
Baseline risks of relapse for various NHL subtypes
The completion of induction therapy and achievement of a complete response (CR) is a significant milestone for patients with lymphoma, but the optimal follow-up for these patients remains a subject of intense debate, especially with regard to the appropriate use of routine surveillance imaging. Unfortunately, a significant portion of patients with non-Hodgkin lymphoma (NHL) who achieve a CR will relapse and require additional treatment. In diffuse large B-cell lymphoma (DLBCL), for example, the CR rate for current standard therapy with R-CHOP (rituximab, cyclophosphamide, doxorubicin, vincristine, and prednisone) is 75%–86%, but up to 1/3 of these patients will ultimately relapse.1,2 The International Prognostic Index (IPI) can assist with risk stratification for newly diagnosed patients. Patients with a high-risk IPI who achieve a CR have an estimated 5-year relapse-free survival of 40% compared with 70% for patients with low-risk IPI.3 Descriptions of poor-risk DLBCL defined by race; insurance status; socioeconomic status; “cell-of-origin” subtype; MYC, BCL2, and/or BCL6 translocations; or overexpression have also identified subsets of patients with worse survival.4-10 Nearly all patients with Burkitt lymphoma respond to induction therapy with multiagent regimens such as dose-adjusted R-EPOCH (etoposide, prednisone, vincristine, cyclophosphamide, doxorubicin, and rituximab), R-HyperCVAD (rituximab-hyperfractionated cyclophosphamide, vincristine, doxorubicin, and dexamethasone alternating with methotrexate and cytarabine), and R-CODOX-M/IVAC (rituximab, cyclophosphamide, vincristine, doxorubicin, methotrexate, ifosfamide, etoposide, and cytarabine), and most patients are cured with first-line therapy.11,12 For example, with a median follow-up of 86 months after R-EPOCH progression-free survival (PFS) was 95%.12
Induction therapy is not considered curative for indolent NHL and mantle cell lymphoma (MCL), with relapse complicating nearly all cases in the absence of death from another cause. Despite an overall response rate of >88% for the most commonly used induction regimens [R-CVP (rituximab, cyclophosphamide, vincristine, prednisolone), R-CHOP, and R-bendamustine], >25% of patients with MCL and follicular lymphoma (FL) experience treatment failure within 3 years.13,14 There is no standard therapy for newly diagnosed MCL, although approaches combining high-dose cytarabine with autologous stem cell transplantation result in high response rates and increasing durations of response.15,16 The outcomes for R-CHOP alternating with R-DHAP (dexamethasone, high-dose cytarabine, cisplatin) followed by stem cell transplantation are particularly encouraging, with a median event-free survival of 83 months.15
In the nontransplantation setting, R-bendamustine has a median PFS of nearly 3 years and R-HyperCVAD without transplantation results in a median time to treatment failure of 4.6 years for patients with MCL.13,17 Maintenance therapy with rituximab can prolong PFS for patients with FL and other indolent NHLs and MCL patients, and its use results in a prolongation of OS among MCL patients treated with R-CHOP.18,19 Patients with indolent NHL and MCL also can undergo observation at relapse until disease progression requires treatment and can receive multiple salvage regimens with chemotherapy or novel agents that produce additional responses, although these are typically progressively shorter in duration.20-22 However, patients with aggressive NHL can have rapidly progressive disease and a shortened median OS after relapse, especially if they are ineligible or not responsive to salvage therapy and/or stem cell transplantation.23
Peripheral T-cell lymphoma (PTCL) is in general associated with a worse outcome than B-cell NHL and Hodgkin lymphoma (HL). In a meta-analysis reviewing outcomes for most T-cell lymphoma subtypes, the CR rate for anthracycline-containing induction regimens was 66% for anaplastic large cell lymphoma, 58% for NK/T cell lymphoma, 42% for angioimmunoblastic T-cell lymphoma, and 36% for enteropathy-type T-cell lymphoma. However, when excluding anaplastic large cell lymphoma, the 5-year OS for patients with PTCL was 37%24 because the majority of patients relapse and die from disease. Consolidation with autologous stem cell transplantation in first remission may improve PFS and OS for patients with PTCL,25,26 but the benefit of this approach remains unproven.
Among patients with DLBCL treated with R-CHOP, relapse occurs both locally and at distant sites in 19% of patients, indicating that evaluation of multiple potential disease sites is important to identify relapsed disease.27 However, it remains unclear whether early identification of relapse through routine imaging surveillance in asymptomatic patients improves long-term outcomes compared with symptom-driven investigation in NHL. Recently, the ASH Choosing Wisely campaign identified routine surveillance scans as an area for improvement in the clinical management of patients, suggesting that routine imaging surveillance for asymptomatic patients with aggressive NHL who achieve a CR should be limited and that scans more than 2 years after achieving a CR should be avoided entirely.28 Indeed, the majority of relapses in patients with aggressive NHL occur within the first 2 years, although up to 19% of relapses occurred after 5 years in one series, indicating that patients merit continued close follow-up, even if imaging evaluations are not included.29
Among patients who experience a relapse, cure is possible in a significant portion of patients with aggressive NHL who are able to tolerate aggressive therapy. The 3-year PFS for patients with relapsed DLBCL who plan to undergo salvage therapy with R-ICE (rituximab, ifosfamide, carboplatin, etoposide) or R-DHAP followed by autologous stem cell transplantation is 37% and the 3-year PFS for those who are able to complete salvage therapy and receive the transplantation increased to 53%.23 Salvage regimens for other forms of NHL are less well defined and are often not curative outside of the setting of allogeneic transplantation. In many cases, patients with relapsed indolent NHL can be observed without therapy until symptoms develop. Recently, agents targeting the B-cell receptor signaling pathway have demonstrated tolerable, oral options for prolonged administration in relapsed/refractory MCL and indolent NHL.20,30,31
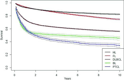
The timing and the risk of lymphoma-related death varies by lymphoma subtype. Figure 1 displays data from the Surveillance Epidemiology and End Results (SEER) program on lymphoma-related survival for various lymphoma populations. SEER data also indicate that, across all patients diagnosed with NHL, ∼1/3 will experience death due to lymphoma within 5 years of diagnosis (Table 1).32 This review examines the evidence for routine surveillance studies through cross-sectional imaging in patients achieving a CR to induction therapy for B-cell NHL. Because the majority of evidence details outcomes for patients with DLBCL, this is the focus of the current review, although data for other subtypes will be incorporated as applicable.
Lymphoma-related survival curves by lymphoma subtype. HL indicates Hodgkin lymphoma; FL, follicular lymphoma; DLBCL, diffuse large B-cell lymphoma; BL, Burkitt lymphoma; and PTCL, peripheral T-cell lymphoma. The dashed lines indicate 95% confidence intervals.32
Lymphoma-related survival curves by lymphoma subtype. HL indicates Hodgkin lymphoma; FL, follicular lymphoma; DLBCL, diffuse large B-cell lymphoma; BL, Burkitt lymphoma; and PTCL, peripheral T-cell lymphoma. The dashed lines indicate 95% confidence intervals.32
Lifetime attributable cancer incidence (LCI) and lifetime attributable cancer mortality (LCM) for surveillance CT imaging and cumulative probability of lymphoma-related death by lymphoma subtype, age at diagnosis, and sex

* Per persons exposed to the cumulative radiation dose associated with a strategy of surveillance CT scans every 3 mo for 2 yand every 6 mo until 5 y.
Guidelines for surveillance in NHL
For patients who are currently in remission after completion of induction therapy, surveillance scans can be considered a secondary screening assessment for the early detection of relapsed disease. Recommendations for screening should therefore take into account several components of an effective screening program: (1) the disease of interest should be clinically significant, (2) the disease should be detectable by the screening method before the onset of clinical symptoms, and (3) there should be effective therapy options that improve survival (or other outcomes) for patients whose disease is detected before the development of clinical symptoms. The application of these principles to postremission surveillance in NHL can be challenging because aggressive subtypes are likely more clinically significant but also less likely to be detected before symptom development, whereas the opposite is true for indolent NHL. It remains a matter of debate whether earlier detection of relapsed aggressive or indolent NHL results in improved OS, and the data regarding this question are reviewed herein.
Current National Comprehensive Cancer Network (NCCN) recommendations for postremission surveillance for NHL differ across subtypes (Table 2). Although surveillance imaging is not specifically recommended for Burkitt lymphoma, the recommendations include follow-up every 2-3 months for the first 2 years. For advanced-stage DLBCL, the recommendations include CT scans no more often than every 6 months for 2 years, followed by scans only as clinically indicated. These recommendations are similar for follicular lymphoma, but there are no specific recommendations for imaging for marginal zone lymphoma and MCL. These guidelines do not offer follow-up recommendations regarding imaging for PTCL.33
Guidelines for surveillance imaging by lymphoma subtype

Given the lack of compelling evidence supporting routine surveillance for patients with DLBCL and FL, all patients should be counseled regarding the potential risks associated with routine surveillance prior to initiating a follow-up program with regularly scheduled CTs. PET/CT should not be utilized in routine follow-up except for patients whose site of disease cannot be reliably detected on a CT (ie, bony sites of disease).
* CT and/or PET should be considered as clinically appropriate at any time that relapse is suspected based on clinical signs or symptoms.
†Imaging modality to be used during follow-up for Burkitt lymphoma and PTCL are not specified in the 2014 American College of Radiology or NCCN guidelines.
Surveillance for relapse in DLBCL
CT imaging
Cross-sectional imaging with CT and/or PET remains the most frequently used method of disease surveillance in NHL. Despite more frequent use of PET in the initial evaluation of patients with NHL, CT remains the more common modality used in long-term follow-up. In a review of 139 patients treated at NCCN institutions, patients were followed with CT scans alone in 48% of cases, PET alone in 15% of cases, and PET combined with CT in 33% of cases.34 In an older report of 117 patients with DLBCL who achieved a CR to 1 of several non-rituximab-containing combination regimens, 35 patients relapsed with a median follow-up of 4.6 years, including 7 patients who relapsed within 3 months of therapy. Two patients had an asymptomatic relapse that was identified solely due to a routine surveillance CT scan. Of the remaining patients who relapsed, 30 (86%) experienced clinical signs or symptoms and 3 (8.6%) had abnormal laboratory evaluations that led to the diagnosis of relapse.35 In a historical series by Weeks et al, only 1 of 35 patients with relapsed DLBCL was identified due to a routine surveillance scan, although the frequency of chest CT was low in this older cohort from 1991.36 A more recent series of 100 relapsed patients with DLBCL, all of whom achieved a CR/unconfirmed CR (CRu) to initial therapy, reported that only 22% of the relapses were identified on routine surveillance CT; the remaining patients were identified based on symptoms, physical examination, or laboratory evaluations. There was no significant difference in OS from the time of relapse (P = .569) between the group identified by routine surveillance and the one identified by an abnormal presentation that prompted additional evaluation.37
PET imaging
PET is now commonly incorporated into the staging and response evaluation for patients with aggressive NHL, and the most frequently used response criteria incorporate PET as part of the criteria for achievement of a CR.38,39 However, its use in the posttreatment surveillance setting is less well defined and is not recommended in several guidelines and published expert opinions.38,39 Despite the existence of standard criteria for interpretation of PET scans,38,39 these criteria have seldom been used in published series reporting outcomes of post-CR surveillance, often because these are retrospective reviews relying on prior interpretations that occurred before the development of these criteria.
A prospective study by Zinzani et al evaluated the use of PET in patients with several subtypes of lymphoma (HL and aggressive and indolent NHL), with patients receiving a PET and CT every 6 months for 2 years, followed by yearly imaging thereafter. For patients with aggressive NHL, relapse was detected by PET in 31% of patients compared with 25% with CT. Among the patients with NHL, there were few false-positive PET scans (12/1184 scans). Eight patients had an inconclusive PET that ultimately was proven to represent relapse, 4 of whom had a negative CT at the same time as the inconclusive PET. These findings would suggest that PET evaluation on a regular schedule may identify a subset of patients with relapsed disease who would not otherwise be identified by clinical symptoms or CT alone. However, the absolute number of scans required to identify a few patients with asymptomatic relapse is high (16 patients with relapsed aggressive NHL were identified by PET without clinical symptoms of 891 total scans).40
Several retrospective series evaluating surveillance imaging in DLBCL have been performed, including a series of 644 patients reviewed by the University of Iowa/Mayo Clinic SPORE Molecular Epidemiology Resource. One-hundred-nine patients relapsed and 87% of relapsed patients presented with clinical signs or symptoms [ie, elevated lactate dehydrogenase (LDH), abnormal physical examination, or clinical symptoms]. Only 8 patients had a relapse of DLBCL detected solely based on a routine surveillance scan (1.5% of all patients with DLBCL).41
Avivi et al reviewed 137 patients with DLBCL treated with CHOP or R-CHOP who achieved a CR and were followed with surveillance PET. Relapse occurred in 26% of patients and only 9 of these patients were asymptomatic at relapse. There were no significant differences in survival based on the presence or absence of symptoms at relapse and the positive predictive value of true relapse for a positive PET was 37%. Among 339 sites that were deemed suspicious for disease recurrence, 211 (62%) were ultimately found to be false-positives. In this series, a positive site was any nodal or extranodal site with fluorodeoxyglucose (FDG) uptake increased compared with background aside from physiological biodistribution or known benign processes. In addition, mild FDG uptake involving calcified hilar or small peripheral lymph nodes with otherwise benign imaging appearance were considered benign. This more sensitive definition of a positive PET may have contributed to the higher number of false-positives compared with other series.42 In an additional series of patients with DLBCL treated with chemoimmunotherapy, Cheah et al reported relapse in 13 of 116 patients, including 7 patients with relapse detected clinically and 6 patients with relapse detected solely by surveillance PET. In addition, there were 6 false-positive scans, suggesting that an asymptomatic patient with a positive PET had only a 50% chance of having a true relapse.43
Benefit of early detection of relapse
Although the rate of detection of asymptomatic relapse with routine surveillance is low in DLBCL, the benefit of early detection could potentially outweigh the negative aspects of frequent scanning if patients with relapse detected earlier had improved OS. In fact, Liedtke et al described a series of 108 patients with relapsed aggressive NHL (75% with DLBCL), in which 22% of relapses were obtained by routine imaging in the absence of symptoms and 78% of patients were diagnosed by an unplanned imaging evaluation due to abnormal findings on examination or symptoms. In this series, the patients diagnosed by routine imaging were more likely to be low risk according to the age-adjusted IPI at the time of salvage therapy (P = .001). Although not statistically significant, 5-year PFS and OS also appeared to be improved in the asymptomatic group (PFS: 34% vs 11%, P = .12; OS: 54% vs 43%, P = .13).44 These findings have not been replicated in subsequent series using both PET and CT. In the prospective study by Zinanzi et al, survival outcomes were not reported and Thompson et al did not report the outcome for the 8 patients who were identified based on scans.40,41 In other retrospective series, OS does not appear to differ based on method of relapse detection (clinical signs/symptoms vs routine surveillance).37,43,45
In 2014, a consensus guideline emerged from workshops initiated at the International Conference on Malignant Lymphoma in Lugano, Switzerland, and follow-up meetings involving expert hematologists, oncologists, radiation oncologists, pathologists, radiologists, and nuclear medicine physicians representing major international lymphoma clinical trials groups and cancer centers.38 This effort clarified recommendations for evaluation, staging, and response assessment of patients with HL and NHL and suggested that PET-CT should be used to assess treatment responses in FDG-avid lymphomas using the 5-point scale, but discouraged the use of routine surveillance scans. Routine surveillance subjects patients to the anxiety of regularly scheduled imaging studies and the potential for false-positive results that require a biopsy. In addition, even in the setting in which patients with asymptomatic relapse detected by routine imaging had possibly improved PFS and OS,44 the asymptomatic patients had lower-risk age-adjusted IPI and it is possible that the investigators identified a group of patients with less aggressive biology that would have resulted in prolonged survival even without earlier detection. In addition, the identification of patients with asymptomatic relapse introduces the possibility of length and lead time bias.46
Review of additional NHL subtypes
Data regarding the appropriateness of routine surveillance for other NHL subtypes, including follicular lymphoma and MCL, are quite limited, and these patients are often included in larger series of DLBCL. Zinzani et al included a cohort of 78 patients with indolent NHL in their prospective evaluation of PET versus CT for surveillance in lymphoma. Forty-seven patients with indolent NHL (60%) experienced a relapse during therapy, and 30 of these presented with clinical symptoms.40 Although this would suggest that PET identifies patients with relapse in indolent NHL, it is not clear whether this increased detection translates to improved survival, especially in indolent NHL, in which many patients who relapse can be monitored until symptoms develop.
Truong et al described 79 patients with indolent NHL in a larger retrospective series addressing the role of surveillance imaging. Among the indolent NHL patients, routine surveillance led to the discovery of relapse in 30% of asymptomatic patients compared with 70% of patients with clinical signs of relapse. Within their series, the rate of detection of relapse by routine surveillance was higher among the patients with indolent lymphoma, although there was no significant difference in survival based on the method of detection (P = .44).45
Risks of repeated imaging
Limited data are available on the risk of additional malignancies associated with routine surveillance scans for patients with lymphoma. Brenner and Hall have estimated that 1.5%–2.0% of all cancers can be attributable to radiation from CT scans based on an analysis integrating organ doses with CT scans and organ-specific cancer incidence and mortality from atomic bomb survivors.47 Another modeling analysis used organ-specific doses of radiation in CT scans and lifetime cancer incidence per unit dose of radiation for body sites incorporating age and sex to estimate the lifetime cancer incidence and cancer mortality attributable to imaging radiation for patients completing a routine surveillance program for lymphoma.46 In Table 1, we replicated this approach to determine the lifetime cancer incidence and lifetime cancer mortality by patient age, sex, and radiation site and calculated the weighted average for all based on the age and sex distributions for each lymphoma subtype. Although the risk of death from lymphoma is markedly higher than the risk of developing cancer due to serial surveillance scans, it remains unclear whether the risk of death from lymphoma is significantly decreased by completing routine surveillance imaging of asymptomatic patients. In Table 3, we indicate the total number of deaths avoided in the U.S. population of lymphoma patients and the cost of CT surveillance imaging per death avoided comparing example surveillance strategies and using several assumptions regarding the expected reduction in likelihood of dying from lymphoma if surveillance imaging is performed to detect relapse in asymptomatic patients. The costs of imaging displayed here are based on Health Care Procedure Coding System (HCPCS) codes and/or the Current Procedure Terminology (CPT) codes using the method described in Tumeh et al48 The annual number of DLBCL deaths avoided are based on 2010 SEER data for the annual number of cases and the number of expected relapses.32 Based on the data presented on imaging characteristics above, the maximal risk reduction of lymphoma-related death from surveillance imaging would be 22% in aggressive NHL and 30% in indolent NHL if all of the patients identified with relapse when they were asymptomatic experienced a survival benefit compared with having relapse detected at a later date based on symptoms. In practice, much more modest benefits of from surveillance scans would be expected and other studies indicate that little or no survival benefit may occur.
Other approaches for NHL surveillance: laboratory-based predictors of relapse
Serologic assessment of patients both after completion of therapy and throughout follow-up may identify patients at risk for relapse. In one series of 59 assessed patients with DLBCL who received R-CHOP or R-CVP, the absolute lymphocyte count (ALC) 3 months after completing therapy was predictive of early relapse (ie, <12 months after lymphoma diagnosis). Patients with early relapse had a median ALC of 0.65 × 109/L compared with 1.09 × 109/L for patients with late relapse (P = .032) and 1.03 × 109/L for patients without relapse (P = .027).49 Decreased ALC throughout the follow-up period also predicted relapse; patients with an ALC < 0.96 × 109/L had a positive predictive value for relapse of 72% in a series of 149 patients treated with R-CHOP.50 The ALC/absolute monocyte count ratio may also predict relapse, because a ratio <2.8 was associated with risk of relapse in multiple variable analysis in a series of 220 patients with DLBCL previously treated with CHOP or R-CHOP.51
Weeks et al have reported that LDH is a sensitive predictor of relapse in asymptomatic patients; however, the risk of relapse within 3 months for asymptomatic patients in CR for <2 years after therapy for advanced-stage disease who presented with an elevated LDH was only 6.7%.36 In 2 recent series, elevated LDH among patients with DLBCL who were in remission after induction therapy had only a 14% positive predictive value.52,53 In a report by William et al of 114 patients with DLBCL, the positive predictive value for relapse for patients with an LDH above the upper limit of normal was only 38%. However, in the small subset of patients who experienced an increase of LDH >1.5 × their assessed value 3 months earlier, the positive predictive value improved to 55%, suggesting that serial assessments of LDH with comparisons at multiple time points may provide meaningful prognostic information, whereas an isolated value that is above the upper limit of normal is less likely to be informative.54 Laboratory assessment can identify patients at high risk for relapse and can be coupled with clinical signs and symptoms. However, laboratory abnormalities alone are not diagnostic and evaluation by imaging and ultimately by tissue biopsy are required to confirm relapse in patients of concern. Despite the limitations, the role of serologic surveillance for patients in CR is intriguing and should be explored further. Ideally, molecular assessment through evaluation of minimal residual disease could reliably identify patients with subclinical relapse, although the importance of early detection of relapse remains a topic of debate for some lymphoma subtypes.
Conclusions and recommendations
Evidence for routine surveillance of all patients with NHL who achieve a CR is lacking and generally limited to findings from retrospective, single-center reviews. These studies are often biased due to heterogeneous therapies, nonstandard criteria for assessing PET or CT, and a lack of standard follow-up scanning intervals within studies. In addition, retrospective reviews of screening assessments are often complicated by lead-time and length-time bias. For example, patients with a more aggressive disease at relapse are less likely to be detected at the time when they are asymptomatic. As a result, those patients with asymptomatic disease detected on routine surveillance may have prolonged survival due to the biology of the disease and not due to early detection. A prospective study randomizing patients to routine surveillance versus imaging prompted by clinical signs or symptoms would be required to answer this question definitively. Additional studies are needed to evaluate laboratory test alternatives for surveillance of lymphoma patients in remission.
Decisions regarding the incorporation of surveillance and the timing and method of such evaluations should be determined on individual patient basis after counseling the patient on the risks associated with scans and any potential benefit for early identification of relapse. It is important that patients recognize that imaging is not without risk, because cumulative radiation exposure may minimally increase a patient's risk of a second malignancy and many lesions identified on a follow-up scan require investigation and biopsy, even when they may not ultimately be found to be cancerous and, if cancerous, may not threaten survival.
Gallamini and Kostakoglu provided reasonable recommendations of factors to consider in assessing the benefit of surveillance imaging, including: absence of clinical symptoms at diagnosis, pretreatment risk for recurrence, early response profile, cost-benefit ratio, potential survival benefit, possible site of relapse, and persistence of a residual mass at the end of treatment.55 We agree with this approach, but recognize that these variables are not always known for each patient. Nevertheless, patients presenting with high-risk disease who are slow to respond to induction therapy and have concerning residual lesions at the conclusion of therapy likely merit closer follow-up than patients with lower-risk disease who achieve a metabolic remission after 2 cycles of induction therapy and remain in remission after a full course of therapy.
Our current approach is to discuss surveillance with each patient who achieves a CR at the conclusion of therapy for NHL. We review the risks and benefits of routine surveillance and consider CT scans every 6 months for up to 2 years after therapy and subsequently only as clinically indicated. All patients are monitored clinically every 3 months for the first 2 years and every 6–12 months thereafter, with additional imaging prompted by abnormal laboratory test results or clinical symptoms.
With improved relapse-free survival with induction therapies and effective novel agents for patients who relapse, the need for routine surveillance and early detection of relapse is decreasing. Patients who choose to pursue such a plan should be well informed of the risks and benefits and should be reminded that any clinical symptoms should still be reported promptly, even if the most recent scan was negative.
Disclosures
Conflict-of-interest disclosures: C.R.F. has received research funding from Spectrum, Gilead, Janssen, and Abbvie and has consulted for Genentech/Roche, Millennium/Takeda, Celgene, OptumRx, and Seattle Genetics. J.B.C. has consulted for Pharmacyclics and Seattle Genetics. Off-label drug use: None disclosed.
Correspondence
Christopher R. Flowers, MD, MS, Associate Professor, Department of Hematology & Medical Oncology, Emory University, Winship Cancer Institute, 1365 Clifton Rd NE, Suite 4302, Atlanta, GA 30322; Phone: (404)778-3942; Fax: (404)778-3366; e-mail: crflowe@emory.edu.

